1 引言
我國北方是以地下水作為主要飲用水源和工農業用水的地區,但近年來該地區尤其是大中城市及周邊的淺層地下水污染問題突出,嚴重制約了工農業發展和危害人體健康(陳德華等,2008).NH4+-N歷來是地下水中的主要污染物.通過對松嫩平原的調查發現,農業生產施用大量的化肥導致了大部分地下水中NH4+-N、亞硝酸鹽氮(NO-2-N)超標(王長琪等,2014);對于華北平原而言,在典型剖面上,29%的地下水樣NH4+-N均已超過地下水Ⅲ類水質標準,14%的地下水樣NH4+-N超過Ⅳ類標準(萬長園等,2014).沈陽市是以傍河型地下水源為主的城市,地下水供水量占到供水總量的2/3.傍河取水管井一般布設于渾河、遼河沿岸,但由于兩側工廠污染源的排放,導致河水NH4+-N濃度較高,加之沿岸地質和水文地質結構利于河水補給地下水,導致地下水中NH4+-N污染嚴重(楊維等,2007).
滲透反應格柵(Permeable Reactive Barrier,PRB)是一種常用的地下水原位修復技術(王業耀等,2004).其中,采用沸石構建的PRB因對NH4+-N具有優先選擇交換、再生容易和運行成本低及溫度適用范圍廣等特點,被廣泛運用于地下水修復.此外,沸石的吸附作用與微生物的硝化作用聯用也得到了學者們的關注,沸石可以為微生物提供附著場所,微生物可以將沸石吸附的NH4+-N降解,二者又可以與PRB技術相結合,并在室內研究中證明了其可行性.
PRB的設計除依據目標污染物的污染羽特征之外,還要與修復場地的水文地質特征相結合.一般來說,PRB構建深度一般在地面以下不超過30 m.針對更大深度的地下水污染羽,PRB的適用性尚不明確.同時,受我國經濟發展水平和其他技術條件的制約,國內PRB基本以室內研究為主,而工程應用性研究較少(侯國華,2014),致使PRB在調查設計及施工方面可以借鑒的經驗有限.
本文針對沈陽市地下飲用水源水中NH4+-N問題,通過現場踏勘、結合室內實驗等手段,查清了研究區水文地質和水質特征,獲取了PRB設計參數(包括介質的最大吸附量、滲透系數、介質復配方案、設計方案、格柵厚度等),提出了PRB構建思路,構建了示范工程尺度的PRB,以期為實際場地的PRB設計與構建提供理論依據和技術支持.
2 研究區概況
研究區是位于渾河中下游的一個傍河型地下水源地,面積約36 km2,分布有約60口水源井,其中,15#水源井為目標井,水源井保護區范圍距離渾河150~200 m.該區屬于遼河平原東北渾河沖洪積扇地,沖洪積扇第四紀地層發育齊全,主要由下更新統冰水沉積層、上更新統沖洪積、坡洪積層、全新統沖積、沖洪積層等地層構成,厚度由東向西逐漸變厚,總趨勢為由東北向西南逐漸降低,坡降0.75%,地面高程平均為海拔45~50 m.東部上緣寬9 km,高程60 m;扇面下緣寬28 km,高程30 m;扇東西長40 km.
2.1 究區地下水補給、徑流和排泄條件
研究區地下水主要補給來源是大氣降雨入滲、渾河入滲和地下側向徑流.大氣降雨入滲補給多集中在每年的7、8、9月份,多年平均降雨量多在650 mm左右;地下水位低于渾河水位,渾河水常年通過垂向和側向入滲補給潛水含水層;地下水基本上呈北東至南西方向流動,水力坡度逐漸減小,該區地下水在接受來自東南、東北、西北邊界地區地下水的匯流后,向南西邊界地區徑流排泄.
研究區地下水主要排泄方式是人工開采,其中,工業開采常年連續穩定且開采量大,用于供給工業用水及城鎮居民生活用水;農業用水開采量并不大.人類大量開采地下水導致區內地下水位埋深很大(10~11 m),進而地下水蒸發排泄降至很小甚至可以忽略.側向徑流排泄較弱,有時甚至變為側向補給.
2.2 研究區水文地質條件
研究區位于渾河中下游高漫灘及一級階地,地層巖性結構特征相對比較簡單,除表層分布有4 m左右的亞砂土和壤土外,巖層巖性為中粗砂及粗砂夾卵礫石,卵礫石含量及粒徑隨著距河流距離的增加而減少.在粗砂夾卵礫石的巖層中有不連續的粘土層分布,靠近渾河處厚度1~2 m,隨著距渾河距離的增加,厚度可增加至5 m.
研究區地下40 m處有粘土層且連續分布,區內的淺層地下水賦存于第四系全新統孔隙潛水含水層和承壓水含水層.潛水含水層埋深約10~12 m,底板位于埋深40 m處,含水層有效厚度30 m,下伏有粘土和淤泥質粘土構成的弱透水層,厚度4~6 m(圖 1).該潛水含水層主要受渾河補給,是NH4+-N超標的主要含水層.

?圖 1 研究區水文地質剖面圖
抽水試驗和高密度電法物探結果表明:研究區的滲透系數平均為60~80 m · d-1;地表水對地下水的補給主要以底部滲漏為主,基本不存在側向補給.天然條件下河水首先補給第一含水層,部分水會通過天窗繼續補給第二含水層,隨著地下水開采量的增加,在第一粘土層和第二粘土層之間存在越流補給.
2.3 研究區地下水NH4+-N污染特征
河水和地下水樣品檢測結果表明,受季節因素和上游污染物濃度變化的影響,渾河中NH4+-N濃度變化較為明顯,枯水期(3月),河水中的NH4+-N濃度較高(7~10 mg · L-1),導致研究區15#水源井地區NH4+-N濃度較高(>2 mg · L-1);豐水期(6月)和平水期(9月),河水中NH4+-N濃度均較低(<4 mg · L-1),但研究區15#水源井(150~200 m)NH4+-N濃度依然在2 mg · L-1以上(圖 2).產生這種現象的原因可能是枯水期殘存在含水層中的NH4+-N解吸所致.可見,渾河是研究區NH4+-N污染的主要來源,其污染分布特征是由渾河始,沿渾河逐步向外部地下含水層擴散.

?圖 2 研究區NH4+-N分布圖
3 PRB設計參數的獲取
3.1 反應介質對NH4+-N的吸附特征
熱力學實驗:向去離子水中投加NH4Cl配置的10組不同濃度的NH4+-N溶液(20、50、100、150、200、250、300、350、400和500 mg · L-1).向聚乙烯瓶中投加1 g粒徑為0.9~2.0 mm的沸石和100 mL不同質量濃度的溶液,置入SHZ-03水浴振蕩器中,轉速設定為150 r · min-1,反應溫度設定為25 ℃,反應時間設定為24 h,每組設置3個平行樣.反應結束后,迅速將溶液放入離心管中,4000 r · min-1離心后取上清液進行測試.
動力學實驗:向聚乙烯瓶中投加1g粒徑分別為0.9~2.0 mm和3.3~4.0 mm的沸石和100 mL NH4+-N濃度為500 mg · L-1和50 mg · L-1的溶液,置入H2Q-C空氣浴振蕩器中,反應溫度設定為25 ℃,振蕩轉速設定為150 r · min-1.反應時間依次為0、5、10、20、30、60、120、300、540和1440 min,每組設置3個平行樣.反應結束后,迅速將溶液放入離心管中,4000 r · min-1離心后取上清液進行測試.
通過熱力學和動力學模型的擬合可以看出,法庫天然沸石對NH4+-N的吸附過程符合Langmuir方程, R2達到0.973,最大吸附量qm=10.41 mg · g-1(圖 3a).由Freundlich方程擬合發現,吸附速率常數k=1.804,N=0.311,表明NH4+-N易于被沸石吸附.當液相NH4+-N濃度小于100 mg · L-1時,沸石吸附量增加較快,隨著NH4+-N濃度的增加,沸石吸附量的增加速率變得平緩,這是因為沸石表面的吸附點位逐漸達到飽和(張英,2012).

?圖 3 法庫天然沸石對NH4+-N的等溫吸附線(a,25℃)和吸附動力學(b,準二級模型)?
動力學參數擬合發現,粒徑0.9~2.0 mm的沸石較粒徑3.3~4.0 mm的沸石吸附速率明顯較快(圖 3b),可知表面粒徑越小的沸石對NH4+-N的吸附速率越快.沸石粒徑越小,沸石單位面積可供交換的離子越多,從而增加了對NH4+-N的吸附能力(張暉,2005;徐電波,2013),同時,還可以發現沸石對NH4+-N是一個“快速吸附,緩慢平衡”的過程.總的來看,沸石可以有效快速地去除地下水中NH4+-N,且吸附量較大.
3.2 反應介質滲透系數的獲取
一般來說,含水層滲透系數(Ka)在1~5 m · d-1之間時,反應介質滲透系數(Kp)對溶質運移總量影響不大,當Kp/Ka≥10時,增加Kp對促進溶質運移作用較小(牛少鳳等,2009).PRB截獲寬度在Ka一定時隨著Kp增加而增加,但當Kp/Ka大于10時,相對截獲區寬度變化基本不大(Liu et al., 2011; 嚴建偉,2013),同時當Kp/Ka大于10時,由沉淀或者其他原因導致Kp減少不會引起截獲寬度的大量減小.因此,只要保證Kp/Ka≥10,PRB能夠避免沉淀對截獲寬度的影響.
對法庫沸石(3~5 mm)進行了達西實驗,利用達西定律,計算出理想條件下該沸石的滲透系數為Kp =0.009 m · s-1=777.6 m · d-1,而場地含水層介質Ka=80 m · d-1.可見,Kp/Ka基本約等于10,表明3~5 mm分選性較好的沸石顆粒完全能夠滿足PRB設計中對反應介質滲透系數的要求.
3.3 介質復配方案比選
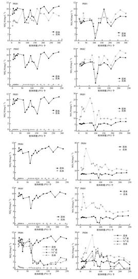
本次研究設計了6根實驗柱,污染物采用地下水配制,至上而下進水方式,提出了5種介質復配方 案(表 1):柱1(PRB1):模擬天然條件下含水層的自凈能力;柱2(PRB2):考察依靠天然斜發沸石的吸附作用去除地下水中NH4+-N;柱3(PRB3):釋氧材料(ORC),用于釋放氧氣;沸石,利用沸石的吸附作用和生物硝作用實現NH4+-N的去除;柱4(PRB4):NH4+-N去除機理與PRB 3相似,但陶粒比沸石更利于微生物附著;柱5(PRB5):陶粒與沸石混合,去除機理與PRB 3類似;柱6(PRB6):去除機理及效果與PRB 3類似,鐵顆粒主要用于將硝化作用生成的硝酸鹽氮(NO3--N)還原.


表 1 柱實驗設計
?
圖 4 不同PRB柱實驗NH4+-N和NO3--N的濃度變化?
NH4+-N在柱實驗中的去除涉及兩種作用,一種是沸石的離子交換性能,另外一種是硝化細菌的硝化作用,具體如下.
離子交換反應:
硝化細菌硝化反應:

柱實驗結果表明,在PRB 1中,依靠天然河沙的自凈作用,NH4+-N去除效率最高只有40%,出水NH4+-N濃度依然較高(5.7~9.7 mg · L-1),達不到有效去除NH4+-N的目的.在PRB 2中,NH4+-N的去除率高達99%,出水NH4+-N濃度較低(<0.02 mg · L-1),但沸石對NH4+-N的吸附只是將其從液相轉移到固相,存在吸附飽和問題,并未將其徹底去除.
在PRB3中,NH4+-N在沸石的吸附作用和微生物作用下迅速被去除,微生物作用使NH4+-N部分轉化為NO3--N,可以延長沸石使用壽命和促進沸石的生物再生.PRB 3對NH4+-N的去除率高達99%,NO3--N生成量在2.1~19.7 mg · L-1之間變化.
在PRB4和PRB5中,其NH4+-N去除機理和效果與PRB 3類似,PRB 3中,NO3--N生成量在2.1~19.7 mg · L-1之間,PRB 4和PRB 5中,NO3--N生成量分別在2.4~27.6 mg · L-1和3.1~18.6 mg · L-1之間.更重要的是,在PRB 4和PRB 5中,NO3--N在出水中隨時間的變化規律可以看出,相對于PRB 3而言,PRB4和PRB5中NO3--N的積累更穩定,因此可以推測,陶粒的掛膜效果較沸石稍好一些,陶粒、沸石均勻混填的復配方式能更好地利用沸石的吸附特性和微生物在陶粒上的易掛膜性,使PRB4和PRB5獲得的硝化作用更強烈,NO3--N積累更穩定,硝化作用對NH4+-N去除的貢獻量更大.
在PRB6中,生成的NO3--N(4~20.6 mg · L-1)部分被鐵還原(其主要產物為NH4+-N 2.0~9.5 mg · L-1),部分被反硝化為氮氣(<8 mg · L-1),導致出水NH4+-N濃度較高(>2.0 mg · L-1),達不到高效去除NH4+-N的目的.
綜上所述,PRB1、PRB6不能實現NH4+-N的有效去除,PRB2、PRB3、PRB4及PRB5對NH4+-N去除效果明顯(去除率>99%).但PRB 2存在沸石吸附飽和問題,PRB 3 能解決沸石吸附飽和的問題且造價低廉,PRB 4及PRB 5使用的陶粒價格昂貴,但對生物硝化的增強作用并不特別明顯.沸石的購買價格為120元 · t-1,陶粒為1000元 · t-1,綜合考慮成本、運行效果及壽命等各方面因素影響,PRB3的工程應用價值最高,因此,建議工程示范中采用ORC+沸石分層填充的復配方式.
3.4 PRB設計方案的選擇
基于研究區條件,設計PRB長15 m左右、深40 m、在下游抽水井(距離PRB 1 m位置)抽水量(Q)120 m3 · d-1的情況下PRB應能夠獲得最大水力截獲面積,使得進入抽水井的水都能得到處理.利用 Visual Modflow中的 particle-tracking 程序包,對地下水質點運移軌跡進行了計算,不同的PRB構建方案模擬效果如圖 5和圖 6所示.

?圖 5 直線型PRB截獲區(a,直線部分15 m)、30°連續PRB截獲區(b,PRB直線部分6.25 m,弧部分2×4.5 m)、 45°連續PRB截獲區(c,PRB直線部分6.25 m,弧部分2×4.5 m)、 60°連續PRB截獲區(d,直線部分6.25 m,弧部分2×4.5 m)效果模擬(圖中垂直方向的線表示地下水等水位線(單位:m),水平箭頭方向表示地下水流向)?
?
圖 6 場地PRB工程位置及結構圖?
通過對以上PRB構建方案進行對比(圖 5),由于場地受抽水的影響,帶有一定弧度的PRB在同等長度(15 m)下能夠獲取相對較大的截獲寬度,保證目標井的水質安全.并且不同角度之間,當PRB平行于擬建位置的等水位線時,處理效果會更好.綜合考慮場地的水文地質條件、水力條件、施工條件及處理效果,45°弧度的連續型PRB方案更具優勢(圖 5c).
3.5 PRB厚度的選擇
實驗條件下獲得NH4+-N在沸石中運移的遲滯因子(R)為283.147,在抽水條件下(Q=120 m3 · d-1)PRB處地下水流速V0約為0.63 m · d-1,NH4+-N通過反應介質的運移速度V=V0/R,約為0.0022 m · d-1.NH4+-N的微生物降解半衰期約為1 d,假設初始濃度為10 mg · L-1的NH4+-N在生物作用下能夠完全轉化為NO3--N,則到目標濃度0.5 mg · L-1以下需經過5個半衰期,因此,單獨依靠生物轉化去除NH4+-N的時間為5 d.
在保證被反應介質吸附的NH4+-N能夠完全被生物去除所需的時間條件下,可得PRB的厚度B=0.0022 m · d-1×5 d≈0.011 m.考慮到實際運行過程中的水質波動及其他環境條件變化對微生物的影響,選取安全因子為3.0,因此,示范工程應保證PRB厚度不小于0.033 m.
考慮到PRB運行壽命及冬季微生物活性降低的情況,設計PRB運行年限(T)為10年,根據含水層特點,PRB有效深度(H)需為30 m,擬設計PRB長度(L)為15 m,沸石密度(ρ)為1.70 kg · m-3,孔隙度(n)為0.4,研究區抽水量為120 m3 · d-1,地下水全部通過PRB進入抽水井,可得PRB日處理水量(Q)為120 m3,NH4+-N濃度(C0)為10 mg · L-1,沸石飽和吸附量(qmax)為4.74 mg · g-1(供應商提供,室內實驗中得到的值遠大于此).假設水體中75%的NH4+-N可依靠硝化作用而被轉化為NO3--N去除(參照中試柱實驗結果),其余25%完全依靠沸石進行吸附.
連續運行10年通過沸石吸附的NH4+-N總量q(NH4+-N)=q×T×365×C0×25%=1095 kg(以氮計);所需沸石總量G(沸石)=Q(NH4+-N)/qmax(沸石)=231.1 t;所需沸石體積V(沸石)=G(沸石)/ρ(沸石)=135.89 m3;考慮孔隙體積后PRB總體積V(總)=V(沸石)/(1-n)=226.48 m3;PRB厚度B=V(總)/(H×L)=0.50 m.
以PRB正常運行10年為設計基礎,示范工程PRB厚度應為0.50 m.考慮到實際條件的復雜性,示范工程選取PRB厚度為1 m,并保證PRB最小有效厚度不小于0.6 m.
4 PRB示范工程的構建
4.1 PRB示范工程構建方案
根據實際場地條件構建的PRB系統由反應系統和監測系統組成(圖 6),其中,反應系統由吸附-生物PRB構成(15 m×1 m×40 m),內填沸石(粒徑3~5 mm).監測系統由PRB內部監測井(M1~M10),前部監測井(F1~F4)和后部監測井(B1~B5)構成,單井內徑200 mm、深40 m(圖 7).PRB示范工程(4.5 m+6.25 m+4.5 m)為兩個邊翼呈45°向目標井P1彎曲,以便能夠最大截獲進入P1井的上游來水.
為了便于添加ORC,通過ORC與地下水接觸釋放氧氣增加反應系統中的溶解氧,增強生物硝化反應,進而達到生物氧化NH4+-N的目的,在PRB系統上游3 m處設置了5口釋氧井,平行于PRB 1行5列布置,井徑400 mm,在埋深14~35 m處為氧氣釋放部位.當地下水中NH4+-N含量較低時,ORC可以暫不放入.
值得注意的是,為了防止受污染的地下水從PRB底部繞流,PRB垂直安裝于地下40 m的潛水含水層隔水底板上.

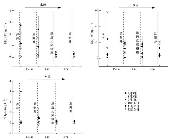
??圖 7 2012年示范工程監測數據(渾河和監測井之間的距離是150 m,PRB距離監測井的距離分別是1 m和3 m)?
4.2 PRB示范工程構建
針對研究區含水層厚度大、地下水埋藏深、含水層介質滲透系數大的特點,PRB示范工程采用了高壓旋噴水泥帷幕固定包氣帶,結合深層連續鉆探的反應墻構筑技術及井填式的反應介質安裝技術,突破了PRB技術應用構建不超過30 m的極限,解決了一般反應墻可能存在的不連續性問題.
高壓旋噴水泥帷幕技術主要用于解決在施工過程中包氣帶松散巖層的坍塌問題,通過水泥帷幕將研究區含沙較多的松散巖層固定,避免在施工挖掘過程中出現巖層坍塌堵塞鉆孔.深層連續鉆探技術采用大型旋挖機進行PRB的構建,以解決大深度PRB的連續施工問題.
5 PRB的運行效果
為便于對PRB示范工程修復效果及有效性進行評估,通過監測系統對PRB的上下游及內部的地下水污染變化特征進行監測,評估PRB的修復效果及對場地地球化學條件的影響.地下水主要監測指標包括pH、Eh、DO、堿度、三氮、TDS及主要的陰陽離子.除了每月定期監測這些指標外,為了增加數據的可靠性及準確度,臨時增加PRB附近其他采樣點的樣品采集測試分析.
PRB 反應介質主要是天然沸石,其對NH4+-N的去除依靠沸石的吸附作用和附著在沸石表面的微生物的硝化作用共同實現.基于柱實驗PRB 3的實驗設計,PRB示范工程是ORC安置在PRB前部,沸石填充于PRB后部,二者有機結合,共同實現NH4+-N的去除.為考察天然條件下地下含水層中微生物活性強弱,ORC暫不加入到PRB中.
依靠沸石的吸附作用和天然條件下的微生物活動,在地下水流速0.63 m · d-1左右和進水NH4+-N濃度波動的情況下,PRB示范工程保持著較高的NH4+-N去除效率.因抽水井取水深度在25 m處,PRB示范工程NH4+-N取樣點選擇在25 m處.因取樣點在第二含水層,NH4+-N進水濃度比潛水含水層較低,進水濃度在0.08~2.73 mg · L-1間波動,經過PRB處理后,出水NH4+-N濃度均0.5 mg · L-1的限值要求(地下水四類水標準)(圖 7).
同時,格柵出水中NO3--N和NO-2-N也發生了相應的變化(圖 7).總體來說,NO3--N濃度略有升高,NO-2-N濃度逐漸降低,據此推測在PRB內略微發生了生物硝化作用.可見,PRB示范工程初步實現了沸石吸附和微生物硝化的耦合.另外,可以推測,日后添加ORC材料會增強生物硝化能力.具體參見 污水處理技術資料或污水技術資料更多相關技術文檔。
6 結論
在研究區調查的基礎上,結合室內批試驗及柱實驗和數值模擬,通過工程措施,成功突破了大深度PRB的構建限制,實現了在較復雜含水層中PRB的設計、構建和應用.帶有一定弧度的PRB設計,能更有效的實現地下水截獲,保護水源井.沸石的吸附作用結合微生物的硝化作用在實際地下水氨氮修復中的應用是可行的,能保證PRB氨氮出水濃度低于0.5 mg · L-1,且硝酸鹽氮和亞硝酸鹽出水濃度符合地下水三類水標準.
