汞對人體具有較強的危害,汞可通過呼吸道?消化道?皮膚等途徑進入人體,可引起人體器官發生病變。我國是以煤炭為主要燃料能源的國家,燃煤過程中造成的汞污染也越來越受到人們的重視。
目前煙氣脫汞技術分為燃燒前脫汞技術?燃燒中脫汞技術和燃燒后脫汞技術[1]。燃燒前脫汞是通過選煤?洗煤和煤的熱處理等一系列技術手段來達到減少汞排放目的[2,3]。燃燒中脫汞主要是通過改變燃燒條件?轉換燃燒方式?噴入固體吸附劑等技術方法來降低煙氣中汞的含量[4-6]。當前工業生產中主要的脫汞方式是對燃燒后的煙氣進行脫汞處理,包括以活性炭為代表的吸附方法?脫硫除塵裝置脫汞處理法?電暈放電離子脫汞法?電催化氧化聯合處理脫汞法和SCR選擇性催化還原技術等[5-9]。目前主要使用的吸附劑有以活性炭為代表的碳基吸附劑?鈣基吸附劑?石焦油?燃煤飛灰和新型的吸附劑[10]?;钚蕴孔鳛槲絼奈叫瘦^高,Wu等[11]對載硫活性炭進行了脫汞性能研究,發現載硫活性炭具有較好的脫汞性能。雖然活性炭的脫汞效率高,但是其成本較高。為了控制吸附脫汞成本,崔夏等[12]進行了蛭石?絲光沸石?膨潤土及經改性后各物質為吸附劑吸附氣態汞的研究。
另外,粉煤灰作為燃煤電廠主要固體廢棄物,具有來源廣,成本低的特點,因此較多學者針對粉煤灰煙氣吸附脫汞進行了研究。匡俊艷等[13]在粉煤灰物化性質對單質汞吸附性能的影響的研究中,觀察到粉煤灰對汞的吸附率可達到92%,并且發現隨著時間的延長,吸附率出現降低,因此提出未燃盡碳含量和粉煤灰粒徑是影響粉煤灰對汞的吸附能力的主要影響因素。趙毅等[14]在改性粉煤灰吸收劑對單質汞的脫除研究中發現含有不同添加劑的粉煤灰對汞的脫出效率影響比較大,并且最高吸附率達到43%。這表明改性粉煤灰具有較好的汞脫除能力,并且粉煤灰由于其來源廣,成本低廉,使得其具有工業應用的成本優勢。
筆者實驗室前期工作[15]分別研究了用NaBr,NaCl溶液對粉煤灰基煙氣脫汞吸附劑進行浸漬改性,并得知在實驗室條件下吸附劑對汞的氧化率可達79.43%。為了進一步論證鹵素元素改性粉煤灰的脫汞特性以及研究其在工業應用上的脫汞效率等,筆者設計了2000m3/h的改性粉煤灰的中試實驗,通過數值模擬的方法研究不同條件下的脫汞效率,并進行了中試實驗研究。
1 實驗原料及方法
1.1 實驗原料
實驗所采用粉煤灰來自于重慶雙槐電廠,粉煤灰的主要化學組成為SiO2,Al2O3,Fe2O3 和CaO,其含量分別為46.74%?25.01%?8.46% 和5.58%。另外,粉煤灰中含有少量Mg?K?Na及S元素。粉煤灰的燒失量為10.37%。
粉煤灰基吸附劑原料配比為12%粘土,2%聚乙烯?3%稻殼,15%石灰,粉煤灰余量。通過圓盤造球機造球,晾干后在1100℃焙燒4h。脫汞吸附劑采用5%的鹵鹽溶液室溫條件下浸漬改性3h后通風晾干的粉煤灰基吸附劑[15],粉煤灰基吸附劑的粒徑為10.0~40.0mm,堆積密度為623.2kg/m3,自由水含量為4.0%,抗壓強度為14.3MPa。吸附劑耐磨強度按照GB/T20451-2006介紹方法測定,結果為87.9%。其比表面積通過Micromeritics公司生產的ASAP2000吸附儀測定,結果表明,其比表面積為242.8m2/g。
中試實驗過程中采用的煤中汞含量為184.11μg/kg,屬于高汞煤種。煤中硫含量為2.57%。
1.2 煙氣吸附脫汞數值模擬
通過對吸附劑脫汞過程進行模擬研究,討論煙氣流量?吸附劑料層厚度以及吸附劑粒徑大小對吸附劑脫汞效率的影響。模擬的結果將指導中試實驗參數設定。
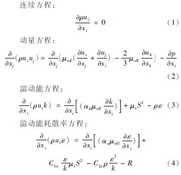
脫汞反應器內為多組分?包含物理化學吸附過程的三維湍流流動過程。湍流流動采用RNGk-ε雙方程湍流模型進行處理。在三維笛卡爾坐標系中,以張量形式表示的湍流對流換熱控制微分方程如下:
?
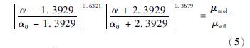
有效粘度μeff可由
得到。方程(2~4)中的系數αT ,αk和αε分別為能量方程?k方程?ε方程的有效Prandtl數的倒數。它們由下式得到:
?
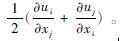
公式(5)中α0 在計算αT,αk 和αε 時分別取1/Pr,1.0和1.0。式(3)和式(4)中S為平均應變率張量的模,定義式為
?
,其中,Sij =
? 。方程(4)中R由下式得出:
R =
,
其中η = S· k/ε,η0 ≈4.38,ζ=0.012。模型中的常數Cμ,C1ε 和C2ε 分別為0.085,1.42和1.68。脫汞反應器內煙氣包含汞及汞的化合物等多種成分。對于多組分傳輸過程,通過第i種物質的對流擴散方程預估每種物質的質量分數,Yi。守恒方程采用以下的通用形式:
式中:Ri是化學反應的凈產生速率,Si為離散相及定義的源項導致的額外產生速率。在脫汞反應器內,煙氣是質量分數最大的物質。為簡化,本實驗中假定煙氣中所有的汞都以單質汞的氣態形態存在。煙氣中的氣態汞在吸附劑填料層內的吸附過程以多孔介質內表面反應模型進行模擬。其實際模擬過程中汞的吸附量在公式(6)中以源項Ri進行計算。
化學物質i的化學反應凈源項通過有其參加的Nr個化學反應的Arrhenius反應源的和計算得到:
?
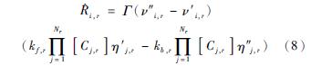
式中:Mw,i是第i種物質的分子量,^Ri,r為第i種物質在第r個反應中的產生/分解速率。反應中物質i的產生/分解摩爾速度以如下公式給出:
?
式中:Nr為反應r的化學物質數目;Cj,r為反應r中每種反應物或生成物j的摩爾濃度;η′j,r為反應r中每種反應物或生成物j的正向反應速度指數;η″j,r為反應r中每種反應物或生成物j的逆向反應速度指數;Γ表示第三體對反應速率的凈影響。這一項由下式給出:
?
反應r的前向速率常數kf,r通過Arrhenius公式計算:
?
?
式中:Ar為指數前因子(恒定單位);βr為溫度指數(無量綱);Er為反應活化能(J/kmol);R為氣體常數(J/(kmol·K))。
對于脫汞反應器的不同吸附反應性能,通過溫度指數βr來進行調節。其具體數值通過實驗確定。具體參見污水技術資料更多相關技術文檔。
在Fluent軟件中,需要給定吸附劑顆粒填料層的比表面積,即單位體積多孔材料內吸附劑的表面積。對于填料層內規則圓形顆粒,規則排列時,其比表面積按下式計算:
?
詳情請下載:改性粉煤灰基吸附劑煙氣脫汞





