1 引言
重金屬是水體中具有潛在危害的重要污染物之一.隨著經濟和工業的發展,城市生活、工業冶煉及農業面源污染向環境排出的重金屬廢水逐年增加,導致河流受到不同程度污染,危害水生生態系統結構和功能;此外,Hg、Pb、Cd等重金屬不能被生物降解,參與食物鏈循環并在生物體內積累,通過食物鏈進入人體,危害人體健康.河流懸浮顆粒與重金屬污染物通過吸附、絡合和沉淀等作用,轉移到沉積相中,使沉積物成為水體環境中重金屬的“蓄積庫”,當水體環境發生變化時,沉積重金屬通過一系列物理、化學和生物的過程重新釋放到上覆水中,造成水體“二次污染”.這種“源”和“匯”相互轉化,對流域水生態系統構成嚴重威脅.同時,沉積物中重金屬含量反映河流受污染程度,研究河流沉積物重金屬污染,對開展生態風險評價具有重要意義.
海河流域主要區域地處平原,工、農業發展程度高,平原區域城市行業廢水和生活污水排放量逐年增加,加之流域天然徑流量逐年減少,大部分河流呈現出非常規水源補給特征.河流徑流補給方式變化帶來的嚴重后果是流域重金屬污染問題日益突出,重金屬污染及其環境風險研究備受關注,而目前在這方面研究多集中于海河流域水生態問題,如水質評價、水體有機復合污染的研究,重金屬污染問題研究也僅局限于海河流域北部地區河流,缺少對海河流域南部重污染水系子牙河沉積物重金屬調查研究.滏陽河屬海河流域南系的子牙河水系,兩岸地區工農業比較發達,重金屬污染問題突出,本文研究滏陽河沉積物中重金屬含量分布特征及主要來源,開展重金屬風險評價并作規律性總結,為海河流域重金屬污染的風險評估和控制及河流修復、治理提供參考.
2 材料與方法
2.1 調查區域與點位布置
滏陽河屬海河流域南系,地理位置114°E~116° E、36°N~38°N,由14條支流匯流而成(圖 1).滏陽河流經邯鄲、邢臺、衡水,于獻縣臧橋與滹沱河匯流后稱為子牙河.滏陽河屬北溫帶大陸性季風氣候,夏季炎熱多雨,冬季寒冷干燥,年均氣溫13.4 ℃,年均降雨量550 mm,多集中于6—9月.滏陽河流域農業水資源利用量占75%,導致河流水資源補給主要以沿途接納的城市生活污水和工業廢水為主,重金屬污染嚴重.綜合考慮滏陽河干流沿岸土地利用類型、河流形態、支流匯入位置、城市上下游等因素,在滏陽河上、中、下游設置采樣點15個,分別是邯鄲段(1~3號樣點位于邯鄲段上游,4、5號樣點位于邯鄲段下游)、邢臺段(6~8號樣點位于邢臺段中游,9號樣點位于北澧河匯入點,10號樣點位于洨河匯入點下游,11號樣點為汪洋溝匯入點,12號樣點為邵村排干匯入點)、衡水段(13、14號樣點)和滄州段(15號樣點,獻縣東賈莊橋村西).具體采樣區域和采樣點分布如圖 1所示.

?圖1 滏陽河研究區域及采樣點示意圖
2.2 樣品采集與預處理
2.2.1 樣品采集
樣品采集工作于2014年6月進行,現場采用抓斗式采樣器采集河流表層沉積物樣品,每個采樣點采集多個點表層(0~10 cm)沉積物,混合均勻后裝入聚乙烯塑料袋中密封,置于-18 ℃的車載冰箱,運回實驗室分析.
2.2.2 樣品預處理
實驗室中利用FD1型真空冷凍干燥機(溫度-50 ℃,真空度10 Pa)對樣品進行冷凍干燥,壓散后剔除礫石、貝殼及動植物殘體等雜質,用瑪瑙研缽研磨后過100目篩置于自封袋中-4 ℃避光、密封保存.
2.3 樣品分析與數據處理
2.3.1 樣品分析
沉積物中重金屬元素Cr、Ni、Cu、Zn、Cd、Pb和金屬元素Fe的含量測定選用HNO3HFHClO4方法,取0.1000 g過篩后得到干樣于聚四氟乙烯管中,加入6 mL王水和2 mL氫氟酸,經微波消解儀(MARS X PRESS,CEM,USA)消解,再用電熱板在150 ℃下趕酸1.5 h,待消解液冷卻到室溫后用5%稀硝酸定容至100 mL,過0.45 μm濾膜后放入4 ℃冰箱保存待測.利用電感耦合等離子發射光譜ICPOES(OPTIMA 2000DV,Perkin Elmer,USA)測定Fe元素含量,利用電感耦合等離子體質譜儀ICPMS(7500a,Agilent Technologies,USA)測定重金屬元素Cr、Ni、Cu、Zn、Cd和Pb含量.每批樣品設置3個空白和4個水系沉積物成分分析標準土樣GSD2a(GBW07302a,地球物理地球化學勘察研究所),控制實驗準確性和精確性.每個樣品平行測定3次,實驗結果以均值表示.測定過程中試劑均為優級純,所用水均來自超純水儀(MilliQ Advantage A10 Millipore,USA).
2.3.2 數據處理
采樣點分布圖用ArcGIS 9.3制作;數據統計分析在SPSS 20上進行;數據圖在Origin 8.0上完成.
2.4 重金屬污染評價方法
2.4.1 富集系數法
沉積物重金屬富集系數法(Enrichment Factor,EF指數)是某種重金屬元素含量對參比元素標準化比值得到重金屬元素富集程度的一種方法.由于Fe具有在地殼中大量存在且穩定性好、不易遷移等特點,將Fe作為富集系數法參比元素.此外,通過EF對沉積物重金屬來源進行分析,判斷污染源,計算方法如下:

式中,〖Me/Fe〗Sample是沉積物中金屬與Fe元素含量比,〖Me/Fe〗Background是金屬元素與Fe背景值含量比,采用河北省A層土壤重金屬及Fe含量算術平均值數據作為背景值.EF值在0.5~1.5之間時,表明重金屬完全來自自然源;EF值大于1.5時,表明人為源已經成為重金屬重要來源.
2.4.2 地積累指數法
德國海德堡大學Muller教授提出的地積累指數(geoac cumulation index,Igeo)法是研究水體沉積物重金屬污染應用比較廣泛的一種方法,計算公式如下:

式中,Ci是元素i在沉積物中含量(mg · kg-1);Bi是沉積巖中元素i的地球化學背景值;k為考慮各地巖石差異可能會引起背景值的變動而取的系數(一般取值1.5).地積累指數Igeo分為 7 級,通過Igeo值可以簡便、直觀判斷重金屬污染級別,并且綜合考慮了人為活動的影響.Igeo與對應的污染分級見表 1.

?表1 重金屬污染程度與Igeo的關系
本文采用河北省A層土壤重金屬及Fe含量的算術平均值作為背景值,見表 2.

?表2 河北省A層土壤重金屬及Fe含量
2.4.3 潛在生態危害指數法
采用瑞典科學家Hakanson潛在生態危害指數法(The Potential Ecological Risk Index)(RI)評價滏陽河沉積物中重金屬危害.該法反映沉積物中單一污染物、多種污染物的綜合影響,定量劃分潛在風險程度,是眾多污染指數中應用最廣泛的一種,且潛在生態危害指數法和地積累指數法相結合可以增加重金屬污染評價可靠性.計算公式如下:
1)單個重金屬潛在生態風險指數,

式中,Eif為第i種重金屬潛在生態風險指數;Tis為第i種重金屬毒性響應系數,Hakanson重金屬毒性響應系數分別為:Cd(30)> Cu(5)= Pb(5)=Ni(5)>Cr(2)> Zn(1);Cis為第i種重金屬實測含量;Cin為第i種重金屬背景值,取河北省A層土壤重金屬及Fe含量算數平均值(表 2).
2)多種重金屬綜合潛在生態風險指數,RI:

單個重金屬潛在生態風險指數Eif、重金屬綜合潛在生態風險指數RI和潛在生態風險等級見表 3.

?表3 單個及綜合潛在生態風險評價指數與分級標準
3 結果與討論
3.1 表層沉積物重金屬含量
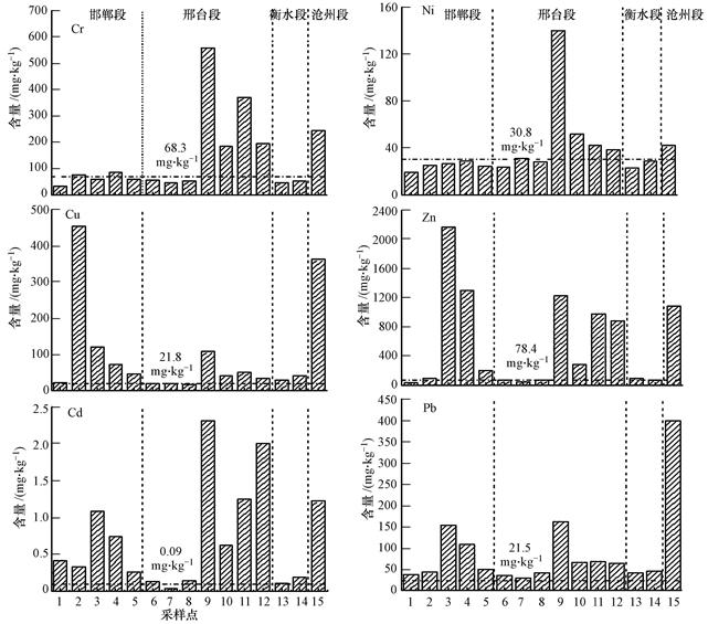
滏陽河取樣點表層沉積物重金屬含量均不同程度高于河北省A層土壤重金屬及Fe含量環境背景值(表 2).其中Cr含量平均值142 mg · kg-1,超標1.1倍;Ni含量平均值38.2 mg · kg-1,超標0.2倍;Cu、Zn、Cd、Pb含量平均值分別為96.2 mg · kg-1、573 mg · kg-1、0.730 mg · kg-1、89.2 mg · kg-1,分別超標3.1~7.1倍.
從重金屬含量空間分布(圖 2)來看,污染程度呈明顯的空間差異性,Pb污染最為嚴重,樣點超標率
100%,其中滄州段獻縣東賈莊橋村附近含量超標17倍.Cd污染次之,超標率93.3%,邢臺段北澧河和邵村排干匯入點含量超標24倍和21倍.Cu和Zn超標率分別為80.0%和66.7%,其中Cu在邯鄲段上游超標20倍,滄州段的獻縣地區超標15倍;Zn在靠近邯鄲城區(3、4號樣點)、邢臺段北澧河匯入點分別超標26倍、15倍和14倍.此外,從元素空間分布來看,Cr和Ni重金屬元素空間變化趨勢較為相似,邢臺段北澧河、洨河、汪洋溝、邵村排干的匯入點含量較高;Zn和Cd元素空間變化趨勢較為相似,靠近邯鄲城區以及邢臺段下游各支流匯入點處含量較高.

?圖2 滏陽河表層沉積物中重金屬含量空間分布?
總體而言,滏陽河表層沉積物重金屬分布特征表現為:在人類活動頻繁的城區附近河段污染較嚴重,原因可能是靠近城區區域有大量工業廢水排入;此外,在有受污染支流匯入的河段,邢臺段北澧河、洨河、汪洋溝、邵村排干的匯入點,6種重金屬均不同程度超過背景值,原因可能是支流向滏陽河干流匯入的河水中含有大量Cr、Ni、Cu、Zn、Cd、Pb等重金屬元素,使沉積物重金屬污染加重,說明支流沿途存在嚴重的污染源排放.
3.2 沉積物重金屬富集系數
根據重金屬富集系數(圖 3),元素Ni未發生富集現象(平均富集系數小于1),元素Cr僅在邢臺段下游和滄州段獻縣地區有富集,平均富集系數1.32,

?圖3 滏陽河表層沉積物重金屬富集系數?
表明Ni和Cr主要來源于地殼和天然地球化學過程.Cu、Zn、Cd、Pb元素平均富集系數分別為3.21、4.93、5.25和2.91,在河段上存在不同程度富集,其中Cu在邯鄲段上游和滄州段獻縣地區富集嚴重,富集系數分別為16.7和10.5,Zn在靠近邯鄲城區(3、4號樣點)富集嚴重,富集系數分別為21.7和12.3,Cd在邯鄲段上游、邢臺段北澧河匯入點和邵村排干匯入點富集嚴重,富集系數分別為9.47、10.4和14.9,Pb在滄州段獻縣地區富集嚴重,富集系數為11.7,表明4種重金屬元素受人為輸入源影響較大.
3.3 重金屬的相關性分析
滏陽河沉積物中7種金屬元素利用Pearson相關性進行分析,結果表明,滏陽河表層沉積物中元素Cd與其它元素(除Cu外)都存在很好相關性,說明Cd與其它元素(除Cu外)具有類似地球化學特征,Cd污染源具有多樣性.Cr、Ni和Fe 3種元素含量呈顯著相關(p<0.01),由于Fe是參與地球化學循環主要元素,可認為Cr和Ni兩種元素主要來自于天然地球化學過程,幾乎未在沉積物中發生富集,與富集系數法結果一致.Pb和Cu、Zn含量顯著相關(p<0.05),且3種元素含量明顯高于背景值,說明Pb可能與Cu和Zn具有相同來源,且受人為來源影響較大,主要來源于人類生活、生產等活動中的重金屬排放.Cu和Pb含量顯著相關(p<0.05),與其它元素無相關性,說明Cu可能與元素Pb具有相同來源.

?表4 滏陽河沉積物重金屬元素之間的相關系數
3.4 沉積物重金屬地累積指數評價
從Igeo指數污染水平分布(圖 4)可以看出,6種重金屬元素均存在不同程度污染.Pb和Cd為滏陽河中重金屬主要污染物,在研究河段有不同程度污染級別,其中Cd在邯鄲段下游和邢臺段洨河匯入點下游達到中等-強污染,在邯鄲段上游、邢臺段汪洋溝和邵村排干匯入點以及滄州段獻縣地區達到強污染,在邢臺段北澧河匯入點達到強極嚴重污染;Pb在邯鄲段上游靠近邯鄲城區和邢臺段北澧河的匯入點達到中等-強污染,在滄州段獻縣地區達到強污染;另外,Cu分別在邯鄲段上游和滄州段獻縣地區達到強污染;Zn在邢臺段邵村排干匯入點達到中等-強污染,在邯鄲段下游靠近邯鄲城區、邢臺段北澧河和汪洋溝匯入點以及滄州段獻縣地區達到強污染,在邯鄲段上游靠近邯鄲城區達到強極嚴重污染程度.


根據重金屬元素在不同斷面的分布情況,可將滏陽河沉積物中重金屬污染主要斷面劃分成3種類型:①Cu、Zn、Cd和Pb在靠近邯鄲城區有較嚴重污染;②邢臺段,各支流匯入點,Cr、Ni、Cu、Zn、Cd和Pb均有不同程度污染級別;③滄州段,獻縣地區,Cr、Cu、Zn、Cd和Pb均有不同程度污染級別.從6種重金屬元素地積累指數分級頻率(表 5)來看,Pb和Cd污染頻率最大,分別為93.3%和86.7%(以河北省A層土壤重金屬和Fe含量統計值作為背景值,指1級及以上級別的點位個數所占的百分比,下同);其次是Cu和Zn污染頻率,分別是66.7%和53.4%;其余2種元素污染頻率大小順序為Cr、Ni.Cd和Zn污染頻率出現了6.7%的強極嚴重污染(5級所占的百分比).

?表5 滏陽河沉積物重金屬地積累指數分級頻率分布
3.5 沉積物重金屬潛在生態風險評價
滏陽河表層沉積物重金屬元素潛在生態危害指數Eif的均值大小(表 6)順序為: Cd(242)>Cu(22.1)>Pb(20.8)>Zn(7.30)>Ni(6.20)>Cr(4.16).其中,Cd 污染最為嚴重,達到了很強風險等級,最高潛在生態危害指數達770(滏陽河邢臺段北澧河的匯入點),超過嚴重風險等級2.3倍,這與整個海河流域沉積物調查顯示Cd污染最為嚴重的結果一致.重金屬Cu 在邯鄲段上游和滄州段獻縣地區處于較重污染風險等級,其余河段均為低風險等級;元素 Pb 在滄州段獻縣地區污染最為嚴重,達到較重污染風險等級,除了對Cd的污染狀況予以關注外,還應對Pb、Cu的污染狀況予以重視,避免上升為中等生態風險等級;此外,部分采樣點Zn、Ni、Cr含量超過河北省 A 層土壤重金屬含量平均值,但生態風險指數小于40.0,處于低污染風險等級.

?表6 滏陽河各采樣點沉積物單項潛在生態風險指數、綜合潛在生態風險指數及風險分級
多種重金屬潛在生態風險指數RI(表 6)結果顯示,在研究區域內,邢臺段北澧河、邵村排干的匯入點和滄州段獻縣地區均處于很強的風險等級(RI≥600),RI值分別為887、714和611;邯鄲段靠近城區的樣點(3、4號樣點)和邢臺段汪洋溝的匯入點均處于強風險等級(300≤RI<600),RI值分別為460、313和474;邯鄲段上游(1、2號樣點)和邢臺段洨河匯入點下游均處于中等風險等級(150≤RI<300),RI值分別為157、233和253.滏陽河表層沉積物RI平均值表明,沉積物中重金屬污染整體上處于強風險等級,主要與Cd毒性系數過高導致潛在生態風險指數過高有關,說明毒性加權系數帶有主觀性,沒有充分考慮水化學參數對毒性的影響(吳文星等,2012; 張鑫等,2005).
總體而言,生態風險處于中等及以上等級的樣點斷面均處于人類活動頻繁的城市近郊河段和受污染支流匯入河段,這與之前重金屬含量空間分布和地積累指數法得出的結果一致,應對這些地區重金屬污染加強關注和控制,重點排查、治理城區及支流重金屬污染源,以減輕滏陽河干流重金屬污染狀況;從污染源角度看,重金屬元素Cu、Zn、Cd、Pb受人類活動影響較為明顯,這可能與海河流域人口密集、工業化程度較高有關,應加強這幾類重金屬的監測和治理;在重金屬元素污染水平上,綜合考慮地積累指數評價和潛在生態風險評價結果,得出Cd元素存在較嚴重生態風險,說明Cd含量超標已成為海河流域主要環境問題,應引起足夠重視,加強排入滏陽河及支流廢水中Cd元素的治理,以防發生更嚴重污染.
滏陽河重金屬生態風險評價是一種有效評價重金屬污染的方法,后期還應結合重金屬賦存形態研究才能更好了解滏陽河重金屬污染狀況和生態風險,為其河流環境修復提供基礎數據,并為其它非常規水源補給重金屬污染河流治理提供參考.具體參見 污水處理技術資料或污水技術資料更多相關技術文檔。
4 結論
滏陽河由于非常規水源補給特點存在重金屬污染問題,其中元素Cu、Zn、Cd、Pb多來自于人為源輸入,重金屬污染現象在靠近城區的河段(邯鄲段、滄州段)以及受污染支流匯入的河段(邢臺段)尤為突出.
1)滏陽河表層沉積物重金屬Cr、Ni、Cu、Zn、Cd、Pb平均含量分別為142 mg · kg-1、38.2 mg · kg-1、96.2 mg · kg-1、573 mg · kg-1、0.730 mg · kg-1和89.2 mg · kg-1,與河北省土壤環境背景值相比,分別超標1.1倍、0.2倍、3.4倍、6.3倍、7.1倍和3.1倍,超標比例分別為46.7%、33.3%、80.0%、66.7%、93.3%、和100%.
2)滏陽河表層沉積物中Ni總體來說無重金屬富集現象;Cr、Cu、Pb、Zn、Cd在整個河段上存在不同程度富集,且Pb來源可能和Cu、Zn兩者類似,受人類活動影響因素較大,Cd可能來自不同污染源.
3)地積累指數分級頻率結果顯示,滏陽河表層沉積物Pb和Cd污染頻率最大,分別為93.3%和86.7%,且Cd和Zn出現強極嚴重污染,分別出現在滏陽河邢臺段,北澧河匯入點和滏陽河靠近邯鄲城區的上游.滏陽河主要污染斷面劃分成3個:Cu、Zn、Cd和Pb在滏陽河靠近邯鄲城區均有較嚴重污染;邢臺段各支流匯入點,Cr、Ni、Cu、Zn、Cd和Pb均有不同程度污染;滄州段獻縣地區,Cr、Cu、Zn、Cd和Pb均有不同程度污染.
4)滏陽河表層沉積物RI均值表明,沉積物中重金屬污染整體上處于強風險等級,其中靠近城市近郊及受污染支流匯入河段多處于強風險等級,部分處于很強風險等級.單個重金屬元素生態危害指數Eif表明,Cd污染最為嚴重,達到重風險等級,其它元素處于低風險等級.?
