預計到2015年年底,我國污水處理廠總數將突破4 000座,剩余污泥總量將突破3 500萬t[1]. 污泥的處理處置成為亟待解決的問題. 利用水泥窯協同處理污水廠污泥可實現污泥處置的無害化、 減量化和資源化[2]. 但是,在焚燒處置前,須對污泥進行干化使污泥的含水率達到焚燒要求. 在污泥干化過程中,會釋放出大量的揮發性有機物、 硫化物、 胺類等物質,易引發惡臭污染[3, 4, 5]. 惡臭污染評價體系的建立有助于制定合理的治理措施,控制惡臭污染. 以往的惡臭污染評價方法主要以臭氣濃度、 臭氣強度、 惡臭物質濃度的測定為基礎,測定方法包括嗅覺測定法及儀器測定法[6, 7, 8, 9]. 臭氣強度的測定主觀性大且重復性差[10],基于臭氣強度的評價手段不能全面反映惡臭污染特征; 污泥干化產生尾氣中污染物種類復雜,臭氣濃度不能直接反映惡臭物質的危害性. 另外,污泥干化產生尾氣的惡臭污染評價目前還沒有相關研究報道. 本研究以某水泥廠利用窯尾氣直接干化污泥產生的尾氣為對象,通過測定尾氣中物質的成分和濃度,采用指標權重評分篩選出尾氣中的主要惡臭污染物. 根據主要惡臭污染物構建污泥直接干化產生尾氣的惡臭污染潛力分級評價指標體系,基于韋伯-費希納定律對污泥直接干化產生尾氣的惡臭污染潛力進行分級評價,形成針對污泥直接干化產生尾氣的惡臭污染潛力分級評價方法,以期為水泥窯協同處置污泥過程中產生臭氣的污染防控工作提供技術支持.
1 惡臭污染潛力分級評價方法構建
基于污泥直接干化過程中惡臭氣體排放特征的現場調研,通過指標權重評分方法篩選出主要的惡臭污染物. 考慮污泥直接干化過程中臭氣的排放強度以及惡臭污染物的風險指標構建臭氣污染潛力評價指標體系,對篩選的惡臭污染物的污染潛力評價指標進行分級. 采用韋伯-費希納定律對污泥直接干化過程產生臭氣的惡臭污染潛力進行分級計算,得出惡臭污染潛力等級劃分(圖 1). 其中,目標層為污泥直接干化過程產生臭氣的惡臭污染潛力,通過模型計算得到; 指標層包括惡臭污染物的風險指標和臭氣排放強度. 風險指標由惡臭物質的濃度、 嗅閾值、 閾限值、 惡臭強度以及其毒理效應等因素綜合計算確定. 臭氣排放速率和濃度確定臭氣排放強度(圖 2).

圖 1 污泥直接干化過程產生臭氣的惡臭污染潛力評價流程示意

圖 2 污泥直接干化過程產生臭氣的惡臭污染潛力分級評價指標體系
1.1 主要惡臭污染物的篩選 1.1.1 篩選原則
針對窯尾氣直接干化污泥過程產生污染物質的特殊性和復雜性,注重惡臭污染物對環境的影響和健康效應,以及經濟技術可行性,同時參考國內外現有的經驗和資料[11, 12, 13],確定以下篩選原則.
(1)已有排放控制標準的惡臭物質優先考慮. 我國《惡臭污染物控制標準》(GB 14554-93)[14]中規定了硫化氫、 氨、 甲硫醚、 甲硫醇、 苯乙烯、 二硫化碳、 二甲二硫、 三甲胺等8種典型惡臭污染物的排放限值.
(2)污泥直接干化過程中排放濃度高,排放量大的氣態污染物.
(3)環境影響突出、 毒性較大的物質.
(4)參照國外的污泥干化或水泥窯協同處置污泥過程中惡臭物質控制的相關標準和規定.
(5)國內已具備一定的基礎條件,可以監測的惡臭物質.
1.1.2 指標確定
參照篩選原則,確定篩選參數指標為物質濃度、 嗅閾值、 檢出率、 蒸氣壓及氣味安全級別.
物質濃度:指的是惡臭污染物的質量濃度或體積分數,單位為mg ·m-3或×10-6.
嗅閾值:人的感覺器官能夠嗅覺到的最低嗅覺濃度. 某種物質的嗅閾值越低,表明其越能被人的嗅覺器官感受到,越能引起不愉快感.
檢出率:在環境污染狀況的調查中,某種惡臭物質在所調查的污染源中出現的次數與總調查次數的比值. 物質檢出率越高,其在污染源中存在的可能性越大,影響面也越廣.
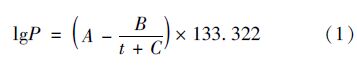
蒸氣壓:判斷污染物進入環境空氣中的可能性及環境遷移的重要參數,蒸氣壓越大,污染物揮發進入空氣中的可能性越大,對環境影響越大. 蒸氣壓的計算根據安托萬方程:
式中,P:蒸氣壓(Pa); t:溫度(℃); A、 B和C:相關參數,參照文獻[15]給出的值.
氣味安全級別是衡量物質氣味對人體影響程度的指標. 參照已有的計算方法和劃分標準[16],將閾限值(TLV)與嗅閾值的比值作為氣味安全倍數,根據氣味安全倍數劃分氣味安全級別. 閾限值是美國政府工業衛生專家會議(ACGIH)制訂的車間空氣中有害物質的容許濃度[17, 18]. 即每周40 h(每天8 h,5 d)工作時間內所接觸的有害物質的時間加權平均濃度限制. 在閾限值表中規定有3種限值,即時間加權平均濃度(TWA)、 短時間接觸閾限值(TLV-STEL)以及閾限值上限(TLV-C). 本研究采用時間加權平均濃度(TWA).
1.1.3 指標分級評分
將篩選的指標進行相應分級,給出各個級的評分. 其中,物質濃度、 嗅閾值、 檢出率和蒸氣壓均分為10級,采用10分制. 按照Ammore和Hautala提出的劃分標準,氣味安全級別分為5個等級,為統一各參數的評分標準,氣味安全級別也采用10分值,即每級2分,分值如表 1所示.
?表 1 主要惡臭污染物篩選指標評分
1.1.4 綜合分值計算
綜合分值根據各指標的分值及其權重系數Wi計算式(2),且權重系數Wi滿足
式中,SCj:第j種物質的綜合評分. I1j:第j種物質濃度指標的分值; W1:其權重系數,W1=0.225; I2j:第j種物質的嗅閾值指標分值; W2:嗅閾值權重系數,W2=0.225; I3j:第j種物質的檢出頻率指標分值; W3:檢出頻率權重系數,W3=0.1; I4j:第j種物質的氣體安全級別指標分值; W4:氣體安全級別權重系數,W4=0.225; I5j:第j種物質飽和蒸氣壓指標分值; W5:飽和蒸氣壓權重系數,W5=0.225.
某物質的綜合分值越高,其對環境的危害越大. 綜合評分高于平均分的物質即為優先控制的污染物.
1.2 惡臭污染潛力評價方法選擇
韋伯-費希納定律是定量描述人類感覺強度與外界環境刺激強度關系的心理物理學公式,可以確定各種感覺閾限和測量刺激的物理量和心理學的關系. W-F能確切地表達人體產生的反應量與客觀環境刺激量之間的函數關系. 用函數關系表示W-F定律即為:
式中,C:刺激量,I:人的感覺量,k:韋伯常數.
近年來,在環境領域中,W-F作為一種指導思想和方法被引入了環境評價中[19, 20, 21, 22].
該模型基于以下的假設:① 將W-F定律中外界環境刺激量C視為區域生態環境中某評價指標的量; ② 將W-F定律中人體對刺激量產生的反應量I視為該指標對人體的危害程度; ③ k由該指標的性質所決定的,視為各項指標的權重.
臭味是由氣體中物質對嗅覺的刺激而被感知,因此,本評價方法引用W-F定律,構建污泥干化尾氣的惡臭污染潛力計算模型.
2 污泥干化尾氣惡臭污染潛力評價 2.1 風險指標計算及其等級劃分 2.1.1 風險指標計算
風險指標可衡量氣體成分對人體和周圍環境的危害程度. 某種物質的風險指標計算如下式:
式中,Ti表示閾限值的無量綱化數值,Ti的計算如下:
式中,ti:i惡臭污染物的閾限值(×10-6); ci0:i物質的嗅閾值濃度(×10-6).
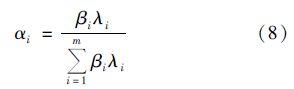
αi是i物質的綜合權重,由該物質的主觀權重β和客觀權重λ共同決定. i物質的主觀權重β指的是物質的致毒效應,參照文獻[23],對惡臭污染物的主觀權重進行確定:高濃度引發死亡的主觀權重系數為0.5,高濃度引發麻痹、 器官病變或功能障礙為0.3,高濃度引發皮炎或不適為0.2.
物質的客觀權重λ由該物質的嗅閾值稀釋倍數決定,嗅閾值稀釋倍數的計算如下式:
式中,Fi:嗅閾值稀釋倍數; Ci:惡臭物質檢出質量濃度; C0i:惡臭物質的嗅閾值. 將所有在惡臭污染源中檢出的惡臭污染物的嗅閾值稀釋倍數歸一化,計算各物質的惡臭客觀權重:
式中,λi:i惡臭污染物的惡臭客觀權重,Fi:i惡臭污染物的嗅閾值稀釋倍數.
i物質的綜合權重充分考慮了該物質的致毒效應、 檢出濃度以及嗅閾值,能客觀評價某種物質在檢出物質中的污染嚴重性,物質的綜合權重通過下式計算:
式中,αi:i物質的綜合權重; βi:i物質的主觀權重; λi:i物質的客觀權重,由式(5)和(6)計算得出. 主要惡臭污染物的風險指標通過式(9)計算:
2.1.2 風險指標等級劃分
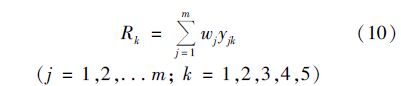
本評價方法中,將風險指標劃分為5級,每個等級的等級閾值按式(10)計算:
式中,Rk:風險指標的等級閾值,共5級; yjk:第j項污染物的k級標準值無量綱化,其值為j項污染物k級標準值(×10-6)與j項污染物的嗅閾值(×10-6)的商. 污染物的k級標準值無量綱化值參見表 2中惡臭強度和污染物濃度關系. 該關系是根據日本的《惡臭防止法》和《惡臭污染評估技術及環境基準》中的相關惡臭污染物濃度與強度對應關系計算得到[23, 24].
?表 2 某些污染物的等級閾值無量綱化值
2.2 臭氣排放強度計算及其等級劃分
臭氣排放強度表示單位時間內臭氣的排放量和臭氣濃度的乘積,臭氣排放強度計算公式為:
式中,QT:臭氣排放強度(m3 ·s-1); O:臭氣濃度,表示臭氣的稀釋倍數,無量綱; Q:氣體排放量(m3 ·s-1). 參照《惡臭污染評估技術及環境基準》劃分臭氣排放強度等級[23]. 為了統一標準,劃分為5個等級(表 3).
?表 3 臭氣排放強度標準等級劃分
2.3 臭氣的惡臭污染潛力計算及等級劃分
2.3.1 指標值標準化
根據式(12),對各項指標進行標準化處理.
式中,Si:第i個評估指標的標準化值; Mi:i項評估指標(風險指標或臭氣排放強度)的數值; Si1:i評估指標無環境污染時的標準閾值,本研究定為1級標準閾值.
2.3.2 惡臭污染潛力評價指標權重計算
風險指標和臭氣排放強度對惡臭污染潛力的影響不同,在進行平價計算前需確定指標層的權重,權重值越大,相應指標對惡臭污染潛力的貢獻越大. 本方法中,通過貢獻率法來確定風險指標和臭氣排放強度的權重系數:
式中,Si:i指標的標準化值,其計算式為(12)所示; m表示指標個數. 計算得到指標層的權重向量為:
式中,φ1:風險指標的權重系數; φ2:臭氣排放強度的權重系數. 為了便于利用韋伯-費希納定律進行計算,指標層的權重采用向量表示.
2.3.3 指標層惡臭污染潛力計算及等級劃分
在本研究中,基于韋伯-費希納定律構建惡臭污染潛力評價模型. 目標層惡臭污染潛力的計算由惡臭氣體的風險指標和臭氣排放強度確定,各項指標的惡臭污染潛力計算式如下:
式中,pi:i指標的惡臭污染潛力; φi:i指標的權重系數,計算見式(13); Si:i指標的標準化值,標準化值計算見式(12),引入Si+1是為了避免出現負值的復雜情況,對比較結果不會產生影響.
基于以下假設:① 將W-F定律中外界環境刺激量Si視為污泥干化過程中產生惡臭氣體的某一評價指標的標準化值; ② 將W-F定律中人體對刺激量產生的反應量pi視為該指標對人體的危害程度,在本研究中,指臭氣的惡臭污染潛力; ③ φi是由該指標的性質所決定的,在本研究中,為各項指標的權重.
對各指標的惡臭污染潛力進行分級,通過下式得到各指標的污染潛力等級閾值:
式中,pik:i指標第k級的惡臭污染潛力; φi:i指標的權重系數; Sik:i指標第k級的標準化值.
2.3.4 目標層臭氣污染潛力計算及等級劃分
通過式(14)得到各指標的惡臭污染潛力,根據指標的污染潛力值,通過式(17)計算污泥直接干化產生尾氣的惡臭污染潛力:
式中,P:水泥窯協同處置污泥產生臭氣的惡臭污染潛力; pi:i指標的惡臭污染潛力,在城市污泥直接干化過程中臭氣產生評價中,包含風險指標和臭氣排放強度兩個指標,故i=1,2.
根據主要惡臭污染物的風險指標和臭氣排放強度計算出臭氣的惡臭污染潛力后,需對其級別進行確定. 污泥直接干化過程產生臭氣的惡臭污染潛力分為5級,分別為:Ⅰ級表示無污染,Ⅱ級表示輕污染,Ⅲ級表示污染,Ⅳ級表示明顯污染,Ⅴ級表示嚴重污染. 各等級的閾值由下式確定:
式中,Pk:目標層k等級惡臭污染潛力值; pik:i指標k等級的惡臭污染潛力. 計算出的污染潛力等級閾值,根據某一污染源的惡臭物質的惡臭污染潛力值即可判斷其惡臭污染潛力等級,根據臭氣排放強度可知道相應的污染影響范圍(表 4).
?表 4 污泥直接干化過程中產生的惡臭污染物綜合分值
3 污泥直接干化過程產生臭氣的惡臭污染潛力分級評價案例
3.1 污泥直接干化產生臭氣監測分析
以某水泥廠利用窯尾氣直接干化污泥產生的干化尾氣為對象,進行污泥直接干化產生尾氣的惡臭污染潛力分級評價. 干化尾氣的主要成分及濃度參照以往的監測和分析結果[25]. 在污泥直接干化產生的尾氣中,硫化氫、 甲硫醚、 二甲二硫這3種惡臭物質因低于檢出限而未檢出. 甲硫醇和二硫化碳用專用檢知管能檢出,但由于濃度極低,不能定量. 這5種物質屬于《中華人民共和國惡臭污染物排放標準》(GB 14554-93)中規定的典型惡臭物質,因此,在本評價方法中,這5種物質的濃度采用的是檢測限的濃度.
3.2 水泥窯協同處置污泥主要惡臭污染物篩選
按照上述的計算方法,得到干化尾氣中各物質的綜合評分如表 4所示. 其中,二氧化硫的綜合分值最高. 綜合分值的平均分為4.44,超過平均分的物質有8種,分別是二氧化硫、 間二甲苯、 甲苯、 氨、 乙苯、 萘、 苯乙烯、 苯(表 4). 二硫化碳評分為4.33,接近平均值,由于其嗅閾值低(嗅閾值:0.21×10-6),氣味刺激性大,易被人感知,產生的惡臭影響較大. 盡管其濃度低,在確定主要惡臭污染物時將二硫化碳也納入其中. 故主要惡臭污染物為二氧化硫、 間二甲苯、 甲苯、 氨、 乙苯、 萘、 苯乙烯、 苯、 二硫化碳.
3.3 指標分級及標準化特征值
根據風險指標和臭氣排放強度分級方法,將污泥直接干化產生的尾氣中主要惡臭污染物的風險指標和臭氣排放強度分為5個等級,確定各等級標準值(表 5).
??
表 5 評價指標等級劃分
污泥直接干化過程中,臭氣排放量為3×105m3 ·h-1,為83.3 m3 ·s-1,臭氣濃度均值為6 555. 計算風險指標值、 臭氣排放強度以及指標標準化的值,確定風險指標和臭氣排放強度的權重(表 6).
?表 6 污泥直接干化過程產生臭氣的惡臭污染潛力評價指標權重
結合污泥直接干化過程臭氣產生評價模型中指標等級劃分(表 5)及指標權重(表 6),根據式(16)、 (18)計算污泥直接干化過程臭氣產生惡臭污染潛力等級標準,得到結果如表 7所示.
?表 7 污泥直接干化過程臭氣產生惡臭污染潛力等級標準劃分
3.4 污泥直接干化過程產生臭氣的惡臭污染潛力評價
污泥直接干化過程臭氣產生評價模型中,風險指標和臭氣排放強度的權重如表 6所示,構成權重向量為:
W ={0.28,0.72}
風險指標和臭氣排放的標準化值構成向量為:
U ={71.92,182.00}
最后的得到污泥直接干化過程中臭氣產生的加權惡臭污染潛力綜合評價值:
將計算出的潛力值對比表 7的惡臭污染潛力分級標準,結果表明,污泥直接干化過程中產生臭氣的惡臭污染潛力為Ⅲ級(污染),根據臭氣排放強度標準等級劃分(表 3)可知,若臭氣外排將會對周邊環境(2-4 km)造成影響.具體參見 污水處理技術資料或污水技術資料更多相關技術文檔。
4 結論
指標權重評分的方法篩選出污泥直接干化過程中產生的主要惡臭污染物,優控污染物為二氧化硫、 間二甲苯、 甲苯、 氨、 乙苯、 萘、 苯乙烯、 苯、 二硫化碳. 基于韋伯-費希納定律建立臭氣的惡臭污染潛力分級評價方法,該評價方法可量化反映水泥窯協同處置污泥臭氣產生的惡臭污染狀況. 案例分析結果顯示,利用本方法計算得到污泥直接干化產生尾氣的惡臭污染潛力值為2.89,潛在惡臭污染能力屬于Ⅲ級(污染),可能影響的范圍為2-4 km.(來源及作者:中國科學院生態環境研究中心 丁文杰 李琳 劉俊新 廣州越堡水泥有限公司 陳文和 鄧明佳 羅輝)
