1 引言
活性污泥法污水處理工藝中,污染物的降解分為兩個階段,第一階段污泥絮體將污水中的有機污染物質吸附到菌體細胞壁外(吸附階段);第二階段菌體通過主動運輸將污染物輸送到菌體內部合成細胞新陳代謝需要的物質和能量(降解階段).所以污泥絮體的吸附對污水處理效果起著決定作用,而胞外聚合物(EPS)是污泥絮體構成的主要部分,占活性污泥總有機質的50%~90%.EPS對污泥絮體的理化性質(如絮體結構、表面電荷、絮凝性、沉降性、脫水性和吸附性能等產生重大影響.
國內外不少學者探討了污泥EPS吸附影響研究,但主要集中于活性污泥EPS對重金屬的吸附研究,Liu等采用陽離子交換樹脂法從好氧顆粒污泥中提取EPS吸附Pb(Ⅱ)、Cd(Ⅱ)和Zn(Ⅱ)的研究表明:EPS對3種離子均有很好的吸附能力,吸附量分別為1587.3 mg·g-1、1470.6 mg·g-1和1123.6 mg·g-1;Wei等也比較了含EPS的菌體和剝離EPS的菌體對Cd的吸附,發現EPS的存在明顯增加了細菌的吸附性能;而Ueshima等研究發現,EPS只可在菌體外形成保護層增強菌體的生存能力,而對細菌吸附Cd沒有影響.
關于污泥EPS對有機污染物的吸附研究甚少,部分學者研究了污泥EPS對染料廢水中染料的吸附,Wei等認為EPS在亞甲藍去除中存在必然的作用,且吸附過程符合假二級動力學模型,在EPS吸附亞甲藍時,起關鍵作用的官能團是蛋白質和腐殖酸內的色氨酸殘基;Gao等分別研究了EPS對4種不同染料(活性艷藍、剛果紅、活性艷紅、孔雀綠)的吸附,發現EPS對陽離子類染料有很好吸附效果;Sheng等采用甲苯胺藍陽離子染色法探討好氧、厭氧污泥EPS對有機污染物的吸附特性,結果顯示:好氧、厭氧污泥EPS對有機污染物均有吸附能力,且是通過形成染料-EPS絡合物來實現的,其中好氧污泥EPS吸附能力更強.
根據EPS與細胞相結合的緊密程度不同,可將EPS分為粘液層(slime bound extracellular polymeric substances,SB-EPS)、松散結合的胞外聚合物(loosely bound extracellular polymeric substances,LB-EPS)和緊密結合的胞外聚合物(tightly bound extracellular polymeric substances,TB-EPS).Guo等只探討了緊密結合的胞外聚合物(TB-EPS)的吸附性能與菌體表面特性的關系,他們利用自合成技術模擬了富含甲基、氨基、羥基和羧基的單層膜對TB-EPS的吸附影響,結果表明,表面富含甲基的單層膜的TB-EPS的吸附率最高.
不同層EPS中的組成成分是否相同,其對污泥吸附性能作用是否不同,值得深入探討.而且目前關于分層EPS吸附性能的研究未見報道.因此,本文擬通過對不同層EPS不同組分的定量分析,研究不同層EPS對有機污染物的吸附性能,解析EPS對污泥吸附有機物性能特征.
2 材料與方法
2.1 試驗材料
試驗活性污泥取自馬鞍山某污水處理廠(A2O工藝)的曝氣池和自行設計的SBR(序批式反應器)污水處理小試裝置.該小試裝置采用人工配水,向自來水中添加葡萄糖、NH4Cl和KH2PO4以控制碳氮磷比為100:5:1,模擬生活污水,試驗的接種污泥取自于上述污水廠的曝氣池.為保證吸附試驗時污泥內無殘留有機污染物,將取回污泥首先空曝24 h,但不做其他預處理,以保持活性污泥原有特性.試驗所用污水統一取之于相同污水處理廠的細格柵出水.活性污泥理化性質、主要工藝參數及試驗污水指標如表 1所示.
表 1 試驗活性污泥、污水指標及主要運行工藝參數、

2.2 污泥EPS的提取和測定
采用熱提取法提取活性污泥中的粗EPS,得到的粗EPS經0.45 μm 濾膜抽濾,收集抽濾后的EPS進行分析.以牛白蛋白作為標準物質,采用Folin-酚法對EPS中的蛋白質定量分析;以葡萄糖作為標準物質,采用硫酸-苯酚法對EPS中的多糖進行定量分析;以小牛胸腺DNA作為標準物質,采用二苯胺比色法測定EPS中的DNA.
2.3 剝離EPS污泥的吸附試驗
為考察不同層EPS對活性污泥吸附性能的影響,分別向4個1000 mL燒杯中加入500 mL空曝后的污泥(控制污泥濃度在6000 mg·L-1左右),然后進行不同處理:Ⅰ、原污泥:不做任何處理;Ⅱ、-SB污泥:原污泥離心(6000 g)5 min,棄去上清液(去除SB-EPS),注入調pH(7.00~7.50)的去離子水補充到原體積,因此,-SB污泥就是剝離其中SB-EPS后的污泥;Ⅲ、-LB污泥:原污泥在3000 r·min-1下離心10 min,棄去上清液,注入預熱到70 ℃的磷酸鹽緩沖溶液(0.1 mol·L-1,pH=7.4,PBS)補充到原體積,放入數顯水浴恒溫振蕩器(50 ℃)中渦旋混合1 min,再將樣品于6000 g離心力下離心10 min,棄去上清液(去除LB-EPS),注入調pH的去離子水補充到原體積,因此,-LB污泥就是剝離其中LB-EPS后的污泥;Ⅳ、-TB污泥:原污泥在3000 r·min-1下離心10 min,棄去上清液,注入PBS懸浮到原體積,然后在60 ℃水浴30 min,經6000 g離心力下離心30 min棄去上清液(去除TB-EPS),注入調pH的去離子水補充到原體積,因此,-TB污泥就是剝離其中TB-EPS后的污泥.
按上述過程分別處理污泥后,再進行相同處理:使用調pH的去離子水清洗污泥5遍,沉降30 min后棄去上清液(部分上清液用于測定清洗后水中COD),保留泥水混合液體積到300 mL.向燒杯中加入600 mL生活污水,然后于六連電動攪拌器(JJ-4,中國)上攪拌(150 r· min-1),分別在5、10、20、30、40、60和90 min時取10 mL樣品測定COD.
2.4 吸附分析計算方法
2.4.1 吸附動力學模型
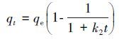
為全面研究剝離不同層EPS對污泥吸附生活污水有機污染物的動力學影響,吸附數據分別采用以Ritchie速率方程為基礎推導出的2種吸附動力學模型,即Lagergern單層吸附動力學模型和Ritchie雙層吸附模型,及顆粒內擴散模型擬合.3種動力學模型方程分別如式(1)~(3)所示.
(1)

(2)
(3)
式中,qt和qe分別是吸附t時刻和平衡時的吸附量(mg·g-1);k1、k2分別為Lagergern單層吸附和Ritchie雙層吸附速率常數(min-1);k3為顆粒內擴散常數(mg·g -1·min-0.5);c為常數.
2.4.2 單位EPS吸附量計算公式
為精確探討不同層EPS在污泥吸附中的作用,分別求出各層單位質量EPS對有機污染物的吸附量,具體計算過程如下:
單位SB-EPS的吸附量=A=[原污泥qe-(-SB污泥qe)]/(SB-EPS×MLSS1/1000)
單位LB-EPS的吸附量=B=[原污泥qe-(-LB污泥qe)-(SB-EPS×MLSS2/1000×A)]/(LB-EPS×MLSS2/1000)
單位TB-EPS的吸附量=C=[原污泥qe-(-TB污泥qe)-(SB-EPS×MLSS3/1000×A)-(LB-EPS×MLSS3/1000×B)]/(TB-EPS×MLSS3/1000)
式中,MLSS1、MLSS2、MLSS3分別為-SB污泥、-LB污泥、-TB污泥的懸浮固體濃度.
3 結果與討論
3.1 污泥各層EPS組分分析
不同污泥的EPS總量上看出(圖 1),培養污泥EPS由于LB-EPS、TB-EPS含量低于污水廠污泥,導致總量也少于污水廠污泥,少4.86 mg·g-1.這是由于污水廠活性污泥系統的污泥負荷比培養的負荷小,因此細菌可利用的基質減少,增值速率降低,此時細菌的分泌和自溶使低負荷污泥中EPS含量較高;培養污泥系統DO(溶解氧5.00~7.00 mg·L-1)高于污水廠污泥系統(2.0~4.0 mg·L-1)也是導致EPS含量減少的原因之一,因為隨著DO增加,微生物的代謝活動加劇,底物消耗快,污泥產生的部分EPS被微生物作為底物利用,因此EPS含量減少;Liao等發現,在SRT(污泥齡)較短時,污泥中的微生物來不及將所有碳源用于生長,多余的碳源被轉換形成EPS或胞內聚合物.

圖 1 活性污泥EPS組成分布圖
從EPS組成上看,EPS組分主要都是蛋白質,占總量的81.07%(培養污泥)、79.96%(污水廠污泥).其次為多糖,DNA含量最少.培養污泥、污水廠污泥EPS中蛋白質與多糖含量的比值分別為4.37、4.76,說明培養污泥中多糖所占比重更大.這是由于培養污泥DO高,多糖產量會增加,但蛋白質會保持不變.此外,培養污泥pH值(7.00~8.00)高于污水廠污泥(6.8~7.2),當pH值偏離中性時,雖然EPS含量有小幅度下降,但多糖含量有所增長.葛利云等試驗發現,淀粉基質培養的污泥比葡萄糖基質培養的污泥EPS中蛋白質與多糖的比值要高,本研究中培養污泥采用葡萄糖為碳源的人工配水,污水廠污泥的污水是市政污水,碳源成分復雜,因此本文的研究結果正好與這一結論相一致. 從不同層EPS組成變化上看,兩種污泥具有相似的規律.從不同層EPS組成上看,從SB層到TB層(由外到內),EPS含量逐步增加.LB層中EPS含量占總量的31.56%(培養污泥)、41.86%(污水廠污泥),是SB層中的3.06倍(培養污泥)、29.08倍(污水廠污泥);TB層中EPS含量占總量的58.34%(培養污泥)、56.71%(污水廠污泥),是SB層中的5.65倍(培養污泥)、39.39倍(污水廠污泥).菌體分泌的EPS首先包裹在菌體細胞外表面,然后逐漸向外,填充到個體間隙中,當分泌量充滿污泥絮體內部空隙時,新分泌出的EPS就會將原來積累的EPS擠到外層,這樣就使得外層的EPS就變得松散.最外層的EPS長期暴露于污水中,表面附著大量有機、無機污染物質,最終形成粘液層(SB-EPS).因此,菌體是先排出TB-EPS,之后慢慢演變成LB-EPS、SB-EPS,這樣就導致SB-EPS和LB-EPS含量相對固定,TB-EPS濃度不斷增加,只有當增加到一定程度時LB-EPS和SB-EPS才會增加.
兩種污泥不同層的蛋白質與多糖比值變化規律不同.培養污泥SB層、LB層、TB層中蛋白質與多糖的比值分別為3.74、4.83、4.27,呈現先增加后略減的趨勢;污水廠污泥SB層、LB層、TB層中蛋白質與多糖的比值分別為1.28、4.66、4.76,從外層到內層呈現逐層遞增的趨勢.由于菌體最先排出EPS被演變成SB-EPS,此時到達菌體內的DO含量高,因此多糖含量相對較多,隨著菌體表面EPS含量越來越多,到達菌體內的DO含量減少,EPS中多糖含量減少.因此內層EPS蛋白質與多糖的比值比外層大.
總之,培養污泥EPS含量低于污水廠污泥;EPS組分主要都是蛋白質,其次為多糖,DNA含量最少;從SB層到TB層(由外到內),EPS含量逐步增加,兩種污泥不同層的蛋白質與多糖比值均為外層小于內層,但培養污泥的-TB污泥層中白質與多糖比值小于-LB污泥層.
3.2 污泥吸附動力學模型分析
按動力學模型方程對吸附量-吸附時間進行擬合,擬合結果如表 2所示.兩種污泥所有層的吸附與顆粒內擴散模型的吻合度均很低,尤其是-TB污泥,說明污泥對污染物的吸附在污泥絮體顆粒表面進行,而沒有擴散到絮體顆粒內部.
表 2 剝離各層EPS的污泥的吸附試驗數據擬合結果的吸附參數與可決系數(R2)

兩種污泥的原污泥、-SB污泥均與Lagergern單層吸附模型和Ritchie雙層吸附模型的擬合效果比較好(R2﹥0.90),這說明外層污泥在吸附過程中既存在單層的物理吸附過程,又存在多層的物理化學吸附過程.其中培養原污泥、培養-SB污泥吸附效果與Ritchie雙層吸附模型吻合性更好(R2﹥0.94),而污水廠原污泥、污水廠-SB污泥的吸附過程效果與Lagergern單層吸附模型吻合性更好(R2﹥0.96).-LB污泥與Lagergern單層吸附模型(R2為0.60~0.85)、Ritchie雙層吸附模型(R2為0.60~0.91)吻合度比-SB污泥小,吸附方式規律性不顯著.-TB污泥中的EPS已經被比較完全地剝離,導致其對污水COD的吸附量明顯小于-SB污泥與-LB污泥,且波動大,與動力學模型吻合度均很小(R2﹤0.23),吸附方式無規律.可見,EPS剝離使得污泥對有機物COD的吸附方式發生變化.
3.3 各層EPS對污泥吸附性能的影響分析
為準確研究不同層EPS對活性污泥吸附有機污染物的性能影響,先計算出各層單位質量EPS對有機污染物的吸附量,再采用Lagergern動力學模型方程進行擬合(圖 2),分析各污泥的吸附量、吸附速率,反應各層EPS對COD吸附作用大小(表 3).

圖 2 剝離各層EPS的污泥的吸附數據與模型擬合圖
表 3 各層EPS對COD吸附結果分析

3.3.1 slime層對污泥吸附的影響
原污泥脫去SB-EPS留下-SB污泥,對有機污染的吸附性能發生明顯變化(圖 2),吸附速率大于原污泥,平衡吸附量小于原污泥.其中培養-SB污泥的吸附速率比培養原污泥大0.0997 min-1,平衡吸附量減少了9.44 mg·g-1,單位SB-EPS的吸附量為0.650 mg·g-1;污水廠-SB污泥的吸附速率比污水廠原污泥大0.0390 min-1,平衡吸附量減少5.59 mg·g-1(表 3),單位SB-EPS的吸附量為3.37 mg·g-1.因此,SB-EPS的存在會增加污泥吸附量,且對污泥吸附速率具有輕微的抑制作用.污水廠污泥單位SB-EPS的吸附量值高于培養污泥2.72 mg·g-1(表 3),但SB-EPS中蛋白質/多糖的比值為1.28,低于培養污泥中SB-EPS的3.74,說明污泥SB-EPS吸附有機污染物過程中起主要作用的是多糖.因為EPS中多糖含量增加可使污泥的生物絮凝能力增強,即由微生物新陳代謝及自溶產生的高分子EPS作為絮凝劑,能有效去除廢水中懸浮和膠態有機物.但由于SB層(EPS粘液層)包裹在菌體最外面,表面結構比較光滑,使菌體免受外界環境的干擾,具有一定的隔離作用,因此在剝離SB層后,污泥吸附速率有所提高.
3.3.2 LB-EPS對污泥吸附的影響
-SB污泥進一步剝離LB-EPS后即為-LB污泥.培養-LB污泥吸附速率比培養原污泥增加了0.0197 min-1,平衡吸附量減少了7.02 mg·g-1,比-SB污泥增加了2.42 mg·g-1,單位LB-EPS 的吸附量為-1.27 mg·g-1;污水廠-LB污泥吸附速率比原污泥減小了0.0431 min-1,平衡吸附量比原污泥減少0.321 mg·g-1,比-SB污泥增加了5.27 mg·g-1,單位LB-EPS的吸附量為-0.106 mg·g-1(表 3).同時污水廠-LB污泥吸附量在40 min時有很大波動,90 min時還未達到吸附平衡,吸附過程很不穩定.因此,LB-EPS在污泥吸附有機污染物的過程中不能將污染物固定,而只是起到傳輸污染物的作用,LB-EPS結構的疏松、多孔,使污染物能快速滲透至TB-EPS中儲存,而且LB-EPS在EPS總量中含量越高,傳遞速度越快.所以,LB-EPS對污泥吸附速率有促進作用,對污泥吸附量沒有影響.
3.3.3 TB-EPS對污泥吸附的影響
-TB污泥即剝離全部EPS后的污泥,由于EPS是污泥產生吸附作用的主要物質,當EPS被完全脫離后,污泥的吸附過程不符合任何吸附模型.培養-TB污泥的單位TB-EPS的吸附量為1.06 mg·g-1,平衡吸附量比原污泥減少了33.5 mg·g-1,比-LB污泥減少了26.4 mg·g-1,但吸附速率比培養原污泥增加了10.7 min-1;污水廠-TB污泥的單位TB-EPS的吸附量為0.443 mg·g-1,平衡吸附量比原污泥減少了17.1 mg·g-1,比-LB污泥減少了16.8 mg·g-1,但吸附速率比原污泥增加了0.183 min-1.由此可見,有機污染物會穿透過LB-EPS,然后被TB-EPS吸附儲存;而且TB-EPS致密的結構使得吸附速率減慢;另外培養污泥單位TB-EPS的吸附量比污水廠污泥大0.617 mg·g-1,其蛋白質/多糖的值比污水廠污泥小,多糖含量高,吸附作用大.
因此,污泥吸附有機污染物時,SB-EPS先吸附部分有機物達到平衡時,剩下的有機物通過LB-EPS運輸到TB-EPS中儲存.SB-EPS和TB-EPS對污染物的吸附量隨多糖含量的增加而增加.LB-EPS含量越多,吸附速率越快,而SB-EPS和TB-EPS會減緩吸附速度.具體參見 污水處理技術資料或污水技術資料更多相關技術文檔。
4 結論
1) EPS組分主要是蛋白質,其次為多糖,DNA含量最少;污泥從外層到內層,EPS含量逐步增加,蛋白質與多糖比值均為外層小于內層,但培養污泥的-TB污泥層中蛋白質與多糖比值小于-LB污泥層.
2) 兩種污泥的原污泥、培養-SB污泥與Lagergern單層吸附模型和Ritchie雙層吸附模型的擬合效果均比較好,說明污泥吸附過程既存在單層物理吸附過程,又存在多層物理化學吸附過程,且蛋白質/多糖的比值越小,吸附作用越好.
3) SB-EPS可吸附有機污染物,其粘液特性會減慢吸附速率.培養污泥單位SB-EPS的吸附量為0.650 mg·g-1,剝離SB-EPS層后,污泥吸附速率增加了0.0997 min-1;污水廠污泥單位SB-EPS的吸附量為3.37 mg·g-1,剝離SB-EPS層后,污泥吸附速率增加了0.0390 min-1.
4) LB-EPS對污染物沒有吸附儲存能力,只有傳遞污染物能力,LB-EPS結構的疏松、多孔,使污染物能快速滲透至TB-EPS中儲存,其占EPS總量越多傳遞速度越快.
5) TB-EPS結構致密,污染物滲透速度慢,但其能很好的將吸附上的污染物保存在菌體細胞壁外而不被釋放.培養污泥單位TB-EPS的吸附量為1.06 mg·g-1;污水廠污泥單位TB-EPS的吸附量為0.443 mg·g-1.
