1 引言
隨著世界經濟的迅速發展和人口的快速增長,城市中生活污水和工業廢水對環境的污染問題日趨嚴重.污水和污泥是污水處理廠對污水處理過程中的必然產物,其有效處理已成為城市污水處理廠正常運行的保證.由于污泥中含有豐富的、具有可利用價值的有機質、氮、磷、鉀等營養物質,因此,污泥農用成為污泥資源化利用的最有效途徑之一.然而,農用污泥中也含有大量的重金屬,而這些重金屬元素是一類難于控制的污染物,具有毒性大、潛伏期長和能沿食物鏈富集等特點,因此,污泥農用存在很大的風險.去除污泥中重金屬的方法很多,目前廣泛使用的是微生物方法和植物修復方法.其中,微生物方法和植物修復方法都存在一定的問題,如處理效果不太穩定、生物淋濾周期較長等.因此,研發高效、環保、運行成本低的新型污泥處理技術迫在眉睫.
電化學處理是利用電化學的方法將難降解有機物或生物毒性污染物降解,已被廣泛用于廢水處理中,而且在降解污泥中的有機物和重金屬元素方面也得到了廣泛的關注.電化學技術是指在外加電場的作用下,在特定的反應器內,通過一定的化學反應、物理過程或電化學過程,產生大量的自由基,利用自由基的強氧化性對污染物進行降解的一種技術.與其他方法相比,電化學方法具有無污染或少污染、易于控制、高度靈活性和經濟性等特點.因此,本文以PbO2/Ti電極板為陽極、銅板為陰極,研究不同電壓、電解時間與污泥中重金屬的去除效果之間的關系,以期為城市污泥農用、污泥無害化和資源化利用提供科學依據.
2 材料與方法
2.1 樣品的采集與處理
污泥樣品為取自烏魯木齊河東污水處理廠5月份的污泥,污泥濃度約為15 g · L-1.樣品經過風干后,用研缽研磨,過 100 目尼龍篩,裝于塑料瓶中,置于4 ℃冰箱中保存,備用.
2.2 實驗裝置
電化學處理裝置是由有機玻璃制作的一種反應器.極板之間的距離為10 cm,極板的面積為100 cm2,陽極區和陰極區底面積均為105 cm2,高為15 cm,中間區寬為6 cm,具有穩定的直流電源,PbO2/Ti電極板為陽極,銅板為陰極,攪拌設備為JB-3A型定時恒溫攪拌器,配大容量離心機(LWJ-2B型).具體實驗裝置如圖 1所示.

圖 1 電化學實驗裝置示意圖
2.3 實驗方法
用王水+HClO4在電熱板上對污泥進行消解,然后用0.1 mol · L-1的鹽酸洗滌、過濾、定容,并用原子吸收分光光度計測定重金屬的含量,用Tessier連續提取方法分析重金屬的化學形態.最后將電極板表面經過適當處理后放入電化學實驗裝置內,加入濃度為15 g · L-1的污泥,接通電源,調節電壓等,定期在實驗裝置內取樣進行分析.
2.4 分析方法
分析用DHG-9070型萬分之一電子天平,pH值采用pHs-3C型pH計測定,污泥中重金屬含量用TAS-990型火焰式原子吸收光譜儀測定.
3 結果與討論
3.1 污泥中重金屬含量分析
污泥中重金屬的5種形態及對應的組分含量如表 1所示.污泥中重金屬的5種形態通常包括可交換態(T1)、碳酸鹽結合態(T2)、鐵錳氧化態(T3)、有機結合態(T4)和殘渣態(T5),且這5種形態在環境中的遷移性和生物有效性呈遞減趨勢(T1>T2>T3>T4>T5),其中,T1與T2之和用于污泥中重金屬遷移性評估,而T1、T2、T3之和用于污泥中重金屬生態有效性評估.若污泥進入到土壤環境中,污泥中有機物也會隨著環境條件的變化而轉化,同時,有機物結合的部分重金屬元素也會被釋放出來.因此,對污泥中的重金屬在環境中的生態風險進行評估時還需要考慮T4的含量.T5一般只有在極端的環境下才會被釋放出來,在自然環境條件下,T5對環境沒有污染風險.
表1 污泥中重金屬不同化學形態含量均值

由表 1可知,烏魯木齊市河東污水處理廠5月份污泥中重金屬Pb、Cd、Cu和Ni的總量分別是45.00、8.00、95.57和158.35 mg · kg-1,此結果已超過我國 《農用污泥中污染物控制標準》(GB4284—1984)中酸性土壤中對 Cd和Ni含量的限值(pH<6.5 的土壤,Cd≤5 mg · kg-1、Ni≤100mg · kg-1),而Cd和Ni的前3種形態占較大的比例,分別是55.00%和46.45%.因此,具有很高的潛在移動性和生態可利用性,極大地威脅著土壤環境的生態安全.說明該污泥不能直接農用在酸性土壤中,應該用一定的方法去除污泥中的重金屬,大幅地降低其含量,才能進行農用,實現污泥資源化.
3.2 不同電壓對污泥中重金屬的去除效果
調節不同的電解電壓,保持其他條件不變,電解10 h污泥,陽極區污泥中重金屬處理效果如表 2所示.從表 2可以看出,電解電壓越高污染物去除效果越好.由于隨著電壓的增加,增大了污泥中帶電粒子運動的推動力,有利于金屬陽離子在陰極板析出,同時也直接導致污泥中氧化基團濃度的增加,有利于電催化氧化反應的進行.但當電壓升高到35 V時,隨著電壓的繼續升高,各重金屬元素的去除效果不是很明顯,而污泥中重金屬元素的含量也得到了較大的改善,且污泥中重金屬的含量均達到國家酸性土壤農用標準.綜合考慮,最適電壓為35 V,此時電流為80 mA,而Pb、Cd、Cu、Ni的去除率分別為53.24%、74.38%、63.47%、58.62%.
表2 不同電壓處理污泥對重金屬的去除率

3.3 電化學處理污泥對pH的影響
調節電壓為35 V,而電流表的示數為80 mA,每隔一定時間分別在距陽極板0、3.3、6.6、10 cm附近取樣,測定其pH及重金屬離子的濃度.其中,pH值的變化如圖 2所示.

圖 2 電化學處理對污泥中pH的變化
由圖 2可知,電化學處理污泥的初始階段陽極和陰極的pH都呈下降趨勢,而陽極pH值下降的幅度大于陰極.當通電1 h時,陰極板附近的pH達到最低,此時pH=5.60.造成這種現象的原因可能是在陽極板發生的反應為:H2O→1/2O2+2H++2e-,而陰極板發生的反應為:M2++2e-→M,在外加電場的作用下,H+從陽極向陰極運動,從而導致陰極的pH降低.隨著處理時間的延長,陽極附近的pH逐漸降低,而陰極附近的pH逐漸升高,最終陽極和陰極的pH值都逐漸趨向穩定狀態.當通電時間在6 h后,隨著通電時間的延長,距離陽極板3.3 cm和6.6 cm附近的pH值都呈小幅上升的趨勢,同時靠近陰極區附近有凝結成塊狀的現象,這種趨勢對重金屬離子的去除是非常不利的.造成這種現象的原因可能是在陽極區發生的反應為:M(OH)2+2H+→M2++2H2O,而陰極區發生的反應為:2H++2e-→H2↑,導致OH-含量升高,使陰極區pH值上升;同時,在外加電場的作用下,陽極區的H+向陰極遷移,而陰極區的OH-也向陽極區運動,從而造成了這種趨勢.經過10 h后,陽極區污泥的pH為2.80,而陰極區的污泥pH為11.45.此時,污泥中重金屬元素的去除效果基本忽略不計.
3.4 電化學處理后污泥中重金屬形態
實驗研究了通過電化學處理10 h后,在陽極區的污泥重金屬各形態的含量,結果見表 3.由表 3和表 1可以看出,處理后,污泥中重金屬的各形態含量均明顯下降,只有Cu和Pb的可交換態含量略微升高.這可能是由于在電化學處理污泥的過程中由其他形態轉化而來,污泥中的重金屬都主要以殘渣態的形式存在且比例很高.而殘渣態非常穩定,很難釋放出重金屬元素,基本上不存在生態有效性,是生物難于利用的部分.通常,T1與T2之和用于污泥中重金屬遷移性評估,T1、T2、T3之和用于污泥中重金屬生態有效性評估.由表 3可知,Pb、Cd、Cu和Ni前3種形態所占比例分別為33.57%、32.32%、25.06%和31.65%.此時,重金屬的遷移性和有效性已經相對較低,潛在威脅的風險也比較低.
表3 污泥中重金屬不同化學形態含量均值

3.5 電化學處理對污泥中重金屬含量的影響
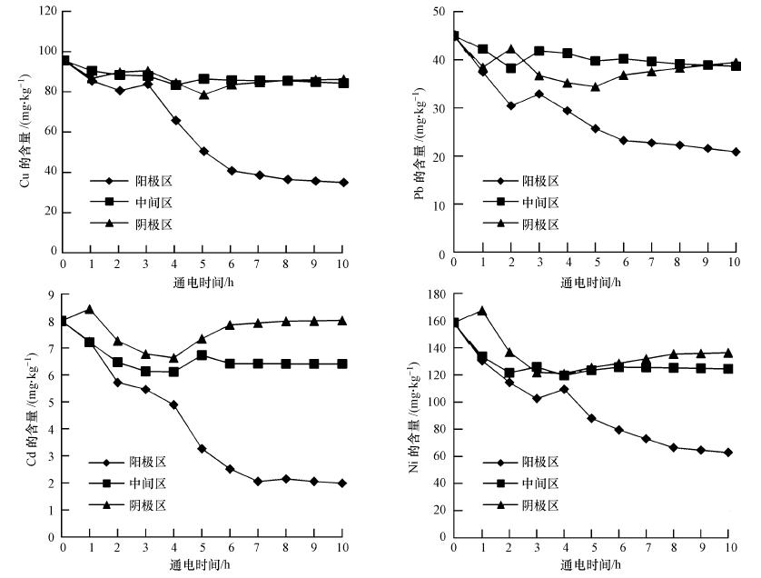
在電解槽內,不同區域的污泥中重金屬離子含量隨通電時間的變化情況如圖 3所示.由圖 3可以看出,在電解前1 h內,電解槽內基本都呈酸性,這有利于污泥中重金屬化合物的溶解,產生的金屬離子在外加電場的作用下向陰極區遷移,并在陰極區富集,導致陽極區和中間區的重金屬離子含量下降,而陰極區附近部分重金屬離子含量上升.在通電2 h后,大部分重金屬離子含量都有所下降,這可能是由于一些重金屬離子在陰極板得到電子還原成單質而在陰極板析出造成的.這一結論可以從陰極板上附有大量金屬光澤得以證實.通電4 h后,隨著通電時間的延長,陽極板附近污泥中重金屬的含量都呈下降趨勢,這主要是由于陽極電解水產生了大量的H+和一些具有氧化性的離子,導致部分化學穩定性較差的金屬化合物發生溶解,釋放出大量的重金屬離子,這些離子在外加電場的作用下定向向陰極移動.在通電2~3 h之間,陽極區有些重金屬的含量有一定程度的升高,這種現象與陽極區重金屬含量應該減少的理論不符,可能原因是污泥中存在一些帶負電的絡合離子及一些因吸附負電荷而表現出電負性的微生物或顆粒物,這些粒子在外加電場的作用下也會向陽極發生遷移.通電5 h后,隨著通電時間的延長,陰極區各重金屬元素的含量都呈增加的趨勢,這一現象與陰極區pH值的變化有關.此時,陰極板附近的pH值已經超過了10.0.在外加電場的作用下,遷移過來的重金屬元素(金屬化合物溶解所產生的和污泥本身固有的)在陰極板附近形成氫氧化物沉淀,從而導致陰極區污泥中重金屬含量的升高.而此時在陰極區獲得電子而被還原的游離態金屬離子較少,使得重金屬元素析出變慢.若用微孔濾膜把不同區域隔開,把污泥放在陽極區用電化學處理,可以有效地解決污泥中重金屬元素在遷移過程中在陰極區附近又重新沉積到污泥中的問題,對重金屬的去除效果可能會有更好的效果.由圖還可知,最適通電時間為6 h時,通過電化學處理,此時在陽極區污泥中的重金屬含量已大大改善,達到國家農用標準,此時Cu、Pb、Cd、Ni的去除率分別為57.35%、48.42%、68.63%、49.85%.

圖 3 不同區域Cu2+、Pb2+、Cd2+、Ni2+的含量變化
而此時整個電化學裝置中Cu、Pb、Cd、Ni的去除率分別為29.42%、28.74%、31.78%、31.39%.
目前,運用電化學技術來處理污泥中重金屬的研究不是很多,對于電化學技術去除污泥中重金屬的理論研究還需要進一步深入.本次實驗按電壓為35 V,電流為80 mA,通電時間為6 h計算,則每處理1 m3的污泥所需費用為5.6元.實際上只有陽極區處理效果較好,而陽極區所占的比例為38.9%,因此,每處理陽極區中1 m3的污泥所需的費用會更高.具體參見 污水處理技術資料或污水技術資料更多相關技術文檔。
4 結論
1)烏魯木齊市河東污水處理廠中的Cd和Ni含量較高,已超過國家農用標準,同時,其可交換態、碳酸鹽結合態、鐵錳氧化態之和也較高,具有很高的潛在移動性和生態可利用性,威脅著土壤環境的生態安全.因此,該污泥不能直接進行農用.
2)在電化學反應器的不同區域內污泥重金屬的去除效果不同,在陽極區對重金屬的去除效果比在其他區域內的去除效果要好很多.
3)采用電化學方法處理污泥,能夠有效低降低污泥中重金屬含量.試驗研究了不同電壓對污泥的處理效果,得出電解污泥最適電壓為35 V,電流為80 mA,反應時間為6 h,可使陽極區中Cu、Pb、Cd、Ni的去除率分別達到57.35%、48.42%、68.63%、49.85%.
