磷是一種重要資源,它既是生物細胞的重要組成元素,又是生產磷肥、飼料及人們生活所需必需品的原料.然而,磷在生物圈中近乎單向流動、不可再生.據估計,目前可開發利用的磷礦儲量僅能維持100年,甚至可能50年就被人類耗盡.與此同時,當地面水體中總磷含量達到0.015 mg · L-1時就足以引起水體的富營養化現象.因此,無論是從磷資源的可持續利用,還是從水體磷污染控制的角度考慮,從
目前,磷酸銨鎂與磷酸鈣法被認為是最有前景的磷回收途徑.回收的磷酸銨鎂(俗稱鳥糞石)作為可直接施用的緩釋磷肥具有較可觀的經濟效益.另一方面,磷酸鈣是自然界磷礦石的主要成分,它不僅是磷酸鹽工業的理想原料,也是磷肥生產的重要原料,它的回收利用同樣具有重要價值.在設有生物脫氮除磷的污水廠處理過程中,濃縮池、消化池等存在厭氧狀態的構筑物內富磷上清液中的磷濃度可達到每升幾十甚至上百毫克,適合以磷酸銨鎂、磷酸鈣鹽等形式回收磷.本研究擬采用的白云石石灰,不僅價格低廉,而且富含鈣鎂,在溶液中可持續釋放鈣鎂,同時起到提高pH值的作用,能有效地去除與回收污泥消化上清液中的磷.
響應面法(Response Surface Methodology,RSM)是目前較為常用的近似模型,它采用多元二次回歸方程來擬合各因素與響應值之間的函數關系,利用數學和統計學的技術進行模型建立、實驗設計、因素評價和參數優化,是解決多變量問題的一種較優越的統計工具.與過去廣泛使用的正交實驗設計法相比,具有實驗周期短,求得的回歸方程精度高,能研究幾種因素間交互作用,預測性能好等優點,其優越性已為越來越多的實驗工作者所關注,并應用于環境工程等領域.因此,本文利用響應面法對白云石石灰去除與回收污泥消化液中磷的影響因素及因素間的交互作用進行優化,并通過掃描電子顯微鏡、傅里葉變換紅外光譜和X射線衍射等表征手段分析結晶沉淀的組成和晶形特征,以期為提高白云石石灰法去除回收污泥消化液中磷的研究提供一定的理論依據和技術支持.
2 材料與方法
2.1 實驗材料
實驗采用石家莊東方礦業公司生產的白云石石灰,粒度為200目,其主要成分及含量如表 1所示. 實驗用污泥消化上清液取自北京市某污水處理廠,該廠采用倒置A2/O生物脫氮除磷工藝,其水質參數如表 2所示.
表1 白云石石灰主要成分

表2 污泥消化上清液水質參數

該污水處理廠約60%的磷已通過化學沉淀法來去除,導致污泥消化過程中釋放的磷濃度比較低(9.27~18.89 mg · L-1).為了便于比較,實驗中通過加入KH2PO4使消化液中磷的初始濃度統一為20 mg · L-1.
2.2 優化實驗設計
根據批次實驗結果分析可知,利用白云石石灰去除和回收污泥消化液中的磷主要取決于白云石石灰投加量、pH值和反應溫度,分別記為變量X1、X2、X3,綜合考慮磷的去除效果及經濟因素,3個因素的取值范圍分別為100~500 mg · L-1、7.5~10.5、15~35 ℃.在結果分析中,以磷的去除率作為響應值,記為變量Y.根據Box-Behnken中心組合設計原理,設計3因素3水平共15個實驗點的實驗方案,具體見表 3、表 4,數據利用Design-Expert 8.0.6軟件進行處理.
表3 響應面實驗因素水平表

表4 響應面實驗方案及結果

2.3 實驗方法
取1000 mL污泥消化上清液于混凝反應器燒杯中,置于ZR4-6型六聯混凝攪拌機上,根據表 4中的設計方案控制不同的實驗條件:白云石石灰投加量、初始pH值、反應溫度,攪拌速度150 r · min-1.以快速混合攪拌作為反應起點,實驗過程中利用水浴鍋控制溫度,反應時間24 h.反應結束后取水樣,立即用0.45 μm的濾膜過濾,并立即向濾液中加入20 μL(6 mol · L-1)的HCl,使結晶反應停止,水樣留待分析測定.反應生成的沉淀物經0.45 μm的濾膜過濾分離后,室溫下自然風干,待測.
2.4 分析方法和儀器
實驗樣品分析按照《水和廢水監測分析方法》(第4版)進行,PO3-4-P的測定采用鉬銻抗分光光度法,使用上海產UV-2102 C型紫外可見分光光度計;NH+4-N的測定采用納氏試劑光度法;pH測定采用Ohaus STARTER 3C臺式pH計.沉淀產物的分析采用掃描電子顯微鏡(德國Zeiss EVO18)、X射線衍射儀(德國Bruker D8 AdvanceDMAX2RB)和傅里葉變換紅外光譜(美國NICOLET NEXUS870).
3 結果與討論
3.1 模型建立及顯著性分析
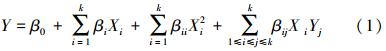
根據用多項式回歸分析對實驗數據進行擬合的結果可知,響應適合二階模型,因變量(Y)和自變量編碼(Xi)的響應關系適合如下經驗模型:

式中,Y代表響應值,即磷的去除率;β0、βi、βii分別是偏移項、線性偏移和二階偏移系數,βij是交互作用系數,Xi代表第i個自變量的編碼值,它同自變量實驗水平實際值xi的換算關系如下式所示:

式中,xi是第i個自變量實驗水平實際值;x0是實驗水平中心值;Δxi是+1和-1兩水平間的差值;k是自變量編碼,模型的預測和數據分析采用方差分析(ANOVA),3D響應面的繪制采用Design-Expert軟件.
根據響應面的實驗結果,經多元回歸擬合和方差分析后,可以得到各個單因素、交互項及平方項對磷去除率的影響情況,并得到相應的回歸方程:

式中,X1、X2、X3分別為白云石石灰投加量、反應初始pH值、反應溫度的編碼值.
模型的方差分析及回歸系數顯著性檢查結果見表 5.F值是回歸均方差與實際誤差的均方差之比,它表示模型中每個控制因素的顯著性影響.通過方差分析可知,模型的F值為16.80,“p”值為0.0031<0.05,這表明該模型在被研究的整個回歸區域內擬合較好;模型決定系數R2為0.9680,校正決定系數R2Adj為0.9104,表明該模型可以解釋91.04%的響應變化,模型擬合度高;模型的變異系數CV為4.68%<10%,表明實驗的可信度和精確度高;精密度“Adeq Precisior”值是有效信號與噪聲的比值為11.747>4,視為合理.綜上所述,應用該模型可以分析和預測白云石石灰去除污泥消化液中磷的情況.對自變量進行顯著性檢驗可得:白云石石灰投加量(X1)、初始pH值(X2)、反應溫度(X3)對磷去除率的線性效應明顯,白云石石灰投加 量(X1)與反應溫度(X3)的交互影響明顯,白云石石灰投加量(X21)、初始pH值(X22)對磷去除率的曲面效應明顯,各因素的效應關系為反應溫度>反應初始pH值>白云石石灰投加量.
表5 回歸方程的方差分析

3.2 響應面分析
對表 5的數據進行降維分析,觀察在其它因素不變的條件下,某兩個因素對磷去除率的交互影響,利用Design-Expert軟件進行分析,所繪制的響應面及其等高線見圖 1~ 3.

圖 1 白云石石灰投加量和反應初始pH值對磷去除率的交互影響

圖 2 反應初始pH值和反應溫度對磷去除率的交互影響

圖 3 白云石石灰投加量和反應溫度對磷去除率的交互影響
圖 1顯示了反應溫度在中心值條件下白云石石灰投加量與反應初始pH值對磷去除率的影響.等高線形狀為橢圓形的說明因素的交互作用顯著,圓形則表示交互作用不顯著.從等高線可以很直觀地看出,白云石石灰投加量與反應初始pH值交互作用不顯著.由圖 1可知,pH值從7.5提高到9.5時,磷的去除率逐漸升高,當pH繼續升高時,磷去除率下降,這與研究的結果大致相同.這是因為反應初始pH值的升高對磷酸銨鎂結晶沉淀產生了影響,NH3/NH+4(pKa=9.26)的電離平衡發生變化所導致的,并且pH值的最佳范圍在8.5~9.5之間,最佳值選為9.0.因兩者交互作用不顯著,白云石石灰投加量保持在250~400 mg · L-1之間即可.
圖 2顯示了白云石石灰投加量在中心值條件下,反應初始pH值和反應溫度對磷去除率的影響.從等高線圖可以看出,兩者交互作用不顯著,并且從圖中能明顯看出,較低的溫度(15~25 ℃)、較低的pH值(7.5~9.5)可以得到較高的磷去除率.
圖 3顯示了反應初始pH值在中心值條件下,白云石石灰投加量與反應溫度對磷去除率的影響.從圖中可以看出,兩者的交互作用明顯,隨著投加量的升高,磷去除率先增大后減小,最佳投加量為300 mg · L-1,并且溫度維持在較低水平(15~25 ℃).
從圖中可以看出,回歸方程存在穩定點,穩定點為極大值,通過解模型逆矩陣得到最佳條件:白云石石灰投加量為325.85 mg · L-1,反應初始pH值為9.0,反應溫度為16.14 ℃,此時磷去除率響應值為93.1777%.綜合考慮實驗可操作性及經濟性,選擇最佳組合為:白云石石灰投加量為300 mg · L-1,反應初始pH值為9.0,溫度為25 ℃,代入回歸方程(3)中得到預測磷去除率為89.43%.通過驗證實驗可得,磷去除率為89.08%,略低于預測值,與預測值相比偏差為0.39%,說明該模型對白云石石灰去除污泥消化上清液的條件優化及磷去除率預測較為準確可靠.
3.3 固體產物表征與分析
根據響應面分析實驗的結果,考察不同反應溫度及不同初始pH值對結晶沉淀產物組成的影響,此時,其它兩個影響因素均為中間值.利用SEM、FTIR、XRD等技術分析沉淀結晶產物的形態和成分.
圖 4為不同反應溫度條件下沉淀結晶產物的SEM圖.通過觀察可以清晰地發現,當溫度為15 ℃時,沉淀產物中僅含有少許斜方晶體,其它均為無定形顆粒(圖 4);圖 4b中顯示的沉淀晶形與圖 4a中對比可以發現,溫度對于沉淀產物有一定影響,25 ℃時可以獲得較大晶形的斜方晶體,表面有少量無定形晶體顆粒附著;圖 4c中可以看出,溫度為35 ℃時,沉淀產物存在少量棒狀晶體,混雜在無定形松散的顆粒中,這說明25 ℃是MgNH4PO4(MAP)形成較適宜的條件(蔡秀萍,2011).該污水處理廠為中溫消化,溫度為33~53 ℃,本實驗最佳溫度為25 ℃,接近常溫.在實際工程應用中,經低溫、中溫、高溫消化的污泥厭氧消化上清液,若進行磷回收,應在近常溫條件下進行處理效果最好.

圖 4 不同溫度條件下沉淀產物的SEM圖(×1000倍;a.15 ℃,b.25 ℃,c.35 ℃)
圖 5為不同反應初始pH值條件下沉淀結晶產物的SEM圖.通過觀察可以清楚地發現,當pH=7.5時,未發現有斜方型或棒狀晶體,其沉淀產物形狀基本無規則,為結構松散的無定形顆粒(圖 5a);pH=9.0時,發現存在棒狀或斜方形晶體,其表面有少許黏附物(圖 5b),這些黏附物是無定形晶體顆粒,說明在這種情況下反應生成了少量其它物質;pH=10.5時,也能觀察到少量磷酸銨鎂晶體,但是其個體較小,其中混有大量無定形顆粒,沉淀結構松散(圖 5a),說明pH升高到一定程度,其雜質會明顯增多,生成的沉淀物中MAP含量減少,影響回收產物的純度及回收率.

圖 5 不同初始pH值條件下沉淀產物的SEM圖(×500倍;a. pH=7.5,b. pH=9.0,c. pH=10.5)
圖 6a和c為不同溫度和初始pH值條件下得到的沉淀產物XRD譜圖.根據多晶X射線衍射分析數據,通過與標準峰對比,計算機自動檢索進行物相鑒定,可以確定:在不同溫度和初始pH值條件下所得到的沉淀物中均含有MgNH4PO4(MAP)、CaCO3和CaMg(CO3)2,未檢測出Ca5(PO4)3OH成分.結合SEM圖可知,沉淀物中還含有無定形磷酸鈣(ACP).隨著溫度和pH值的提高,MAP特征峰的峰高均隨之升高,25 ℃時,CaCO3的特征峰最低,可見25 ℃時沉淀產物中的雜質較少.pH=10.5時,CaCO3的特征峰最低,這是因為溶液中的CO2-3與OH-生成CO2逸出,導致溶液中的CO2-3濃度降低,生成CaCO3的量減少,結合SEM圖可知,此時產物中無定形的固體顆粒占大多數,pH=10.5不利于MAP的生成.

圖 6 不同溫度和pH值條件下沉淀產物的XRD譜圖(a,c)和FTIR譜圖(b,d)
圖 6b和d為不同溫度和初始pH值條件下得到的沉淀產物的傅里葉紅外光譜圖.樣品在1000~1100 cm-1之間均有較明顯的PO3-4強吸收峰,說明沉淀產物中均含有磷酸鹽;由CO2-3在870 cm-1處有明顯的特征峰可知,沉淀產物中均含有碳酸鹽;在1385~1500 cm-1和1665~1720 cm-1處有NH+4的強吸收峰,結合XRD譜圖和SEM圖可知,沉淀產物中含有磷酸銨鎂(MAP).具體參見 污水處理技術資料或污水技術資料更多相關技術文檔。
4 結論
1)本研究所建立的回歸模型擬合度高達到顯著性水平,BBD組合實驗誤差小,可信度和精確度高,數據合理.擬合的二次回歸方程能夠合理反映磷去除率與白云石石灰投加量(X1)、反應初始pH值(X2)、反應溫度(X3)3個主要因素及各因素之間交互式影響的關系.對回歸模型中的自變量進行顯著檢驗可以得出:X1、X2、X3、X1X3、X21、X22對磷去除率影響顯著.
2)綜合考慮實驗可操作性及經濟性,確定最佳條件為:白云石石灰投加量300 mg · L-1,反應初始pH值9.0,溫度25 ℃. 由驗證實驗可知,磷去除率為89.08%,略低于預測值,與預測值相比偏差為0.39%,說明該模型對白云石石灰法去除和回收污泥消化液的條件優化及磷去除率預測較為準確可靠.
3)通過SEM、FTIR和XRD表征技術分析結晶沉淀組成和晶形特征,可知產物中含有磷酸銨鎂晶體、無定形磷酸鈣及雜質碳酸鈣等.可見,利用白云石石灰處理污泥消化液能夠達到回收磷的目的,但最終的沉淀產物雜質較多,主要是由于CO2-3影響較大,因此,還需進一步研究,以降低CO2-3對磷去除率及回收產物純度的影響.
