1 引言
重質油是本世紀能源利用的重要組成部分,需要大力開發重質油資源以滿足能源需求的增長.但重質原油在開采、運輸過程中由于跑、冒、滴、漏等原因,均有原油散落于地面.聲化學的超聲作用是進行油土分離凈化石油污染場地的有效手段,而利用聲化學手段凈化重質油污染土壤過程中勢必會產生大量含重質油的清洗污水.含油污水中的原油一般以漂浮油、分散油、乳化油、溶解油和油-固體物5種形式存在.除漂浮油外,均不能采用靜置法使油水得到有效分離.因此,除油成為含油污水治理的重中之重.
含油污水處理的傳統方法分為物理法(Su et al., 2003; Nicolaisen et al., 2003)、化學法(Owen et al., 2007; Zeng et al., 2007)和生物法(Kriipsalu et al., 2007; Li et al., 2005)等.傳統的處理方法雖取得了一定的成果,但仍有一些不足,這些不足促使研究人員不斷地探索處理含油污水的新技術.而吸附法(曹乃珍等,1997; 吳敦虎等,1996)以其可以簡易、快速地將污染物直接富集在吸附劑上的獨特優勢,越來越多地被應用在含油污水的治理上.
煤是一種天然燃料,本身富含豐富的孔隙結構,其孔隙結構注定其具有獨特地吸附性能,是一種天然的碳質吸附劑.用煤作吸附劑凈化含油污水的獨特優點是不用考慮吸附劑與油的再分離,可以將其作為燃料直接燃燒,使廢油得以重新利用,減少能源浪費,節約成本.本研究擬選用陽泉煙煤作吸附劑,對重質油污染場地的含油污水進行吸附凈化.
2 材料與方法
2.1 實驗材料
2.1.1 吸附劑
所用吸附劑為孤島采油廠集中供熱站的燃煤——陽泉煙煤,其元素組成見表 1.
表1 陽泉煙煤組成


2.1.2 含油污水
場地污染土取自孤島采油廠,對其進行20 ℃、pH為9的聲化學清洗,靜置破乳45 min后,撇除上層浮油,對下層泥漿進行水土分離、稀釋后,制得實驗所需含油污水,含油量為8.5 mg · L-1.超過了《山東省半島流域水污染物綜合排放標準》(DB37676—2007)中對石油類含量的限值要求(5 mg · L-1).
2.2 分析方法
溫度采用水銀溫度計測定,量程0~150 ℃.pH采用意大利HANNA公司產便攜式酸度計(型號:30100-0165)測定.石油類含量按《海洋監測規范》(GB17378.4—2007)中紫外分光光度法測定.所用正己烷(分析純)購自天津市富宇精細化工有限公司.儀器采用日本島津公司產UV2550型紫外可見分光光度儀;波長范圍:190~900 nm(所選吸收波長為254nm);分辨率:0.1nm;譜帶寬度:6段轉換;雙光束方式.測定過程中,每組設3個平行.臺灣產48 kHz、68 W超聲波單槽清洗器,槽體尺寸:140 mm×130 mm×75 mm,槽體容積:1.36 L.
2.3 研究方法
2.3.1 泥漿沉降時間的確定
聲化學清洗后,分別在0、2、4、6、8、10、12 min取上部泥漿23.5 mL,置于烘箱中,于105 ℃下烘干,對殘留固體進行稱重,以樣品中TSS的質量為評價指標,確定適宜的沉降時間.
2.3.2 陽泉煙煤對含油污水中油的吸附
吸附劑的靜態吸附條件優化:以含油污水中油的去除率(η)為評價指標,考察陽泉煙煤在不同溫度(5、10、15、20、25、30、35、40 ℃)、pH值(4、5、6、7、8、9)、時間(0、3、5、10、15、30、45 min)、粒徑(2.0、2.5、3.0、3.5、4.0 mm)、吸附劑投加濃度(0.025、0.0375、0.050、0.075、0.100、0.150 g · mL-1)下對除油效果的影響.油的去除率按式(1)計算.吸附過程中,pH值的調節用1 mol · L-1的NaOH溶液和1 mol · L-1的HCl溶液進行.

式中,C0為原水中含油濃度(mg · L-1),Ce為出水中含油濃度(mg · L-1).
動態吸附:20 ℃、吸附劑粒徑3.0 mm、pH為5的條件下進行動態吸附實驗,實驗裝置如圖 1所示.吸附劑的裝卸可經由法蘭口直接進行.為增加裝置的可控制性,使水流均勻地分散于過水斷面,采用上向流式布置固定床.

圖 1 動態吸附試驗裝置圖
吸附固定床的相關參數見圖 1所示.經公式BV=πr2h計算床體積(BV)為25.1 cm3.煤床層干重組裝密度0.706 g · cm-3,按煤顆粒密度1.1 g · cm-3計算,充水后需用水量約9 cm3.
吸附前活化步驟包括:通過蘭格蠕動泵將500 mL去離子水泵入吸附固定床,控制流量為10 mL · min-1,去離子水的pH值與預流入的含油污水一致.用振動器振動吸附固定床去除其中的氣泡,活化結束后,固定床中的殘余水通過抽吸裝置排出.
通過蘭格蠕動泵將含油污水泵入煤吸附固定床,分別控制流量約為2.5、5、10 mL · min-1,樣品在間隔特定體積后被再次采集,測定其中石油類含量.
2.3.3 吸附等溫線
在最優吸附條件下,改變含油水初始濃度(0.74、0.89、1.11、1.48、2.23、4.56、6.89、8.42 mg · L-1),按式(2)計算吸附容量qe,繪制吸附等溫線.Langmuir吸附等溫線的線性形式如式(3)所示.
式中,qe為吸附容量(mg · g-1),V為水的體積(L),m為吸附劑用量(g).

式中,kL為Langmuir常數,qmax為單層飽和吸附容量(mg · g-1).
3 結果與討論
3.1 泥漿沉降時間
泥漿中含有懸浮固體顆粒(TSS),其粒徑一般為1~100 μm.主要包括粘土顆粒(0.05~4 μm)、粉沙(4~60 μm)和細砂(60~100 μm).單從粒徑大小來看,若不對泥漿的水土體系進行分離,粉土顆粒就會吸附到煤的表面,甚至進入大孔中造成堵塞,從而影響煤的吸附性能.
將7個不同時間節點的樣品置于烘箱中,105 ℃烘干稱重,發現在最初的6 min泥漿中固體快速沉降,樣品干重由最初的2.70 g迅速降至0.20 g;而6 min以后,水土的分離效果變得不再明顯;至第10 min,TSS量僅比第6 min下降0.02g;第10 min與第12 min的TSS量基本不變.從整個沉降過程可知,泥漿中水土分離的靜置沉降時間宜選為10 min.

圖 2 分離時間對懸浮顆粒的影響
3.2 靜態吸附
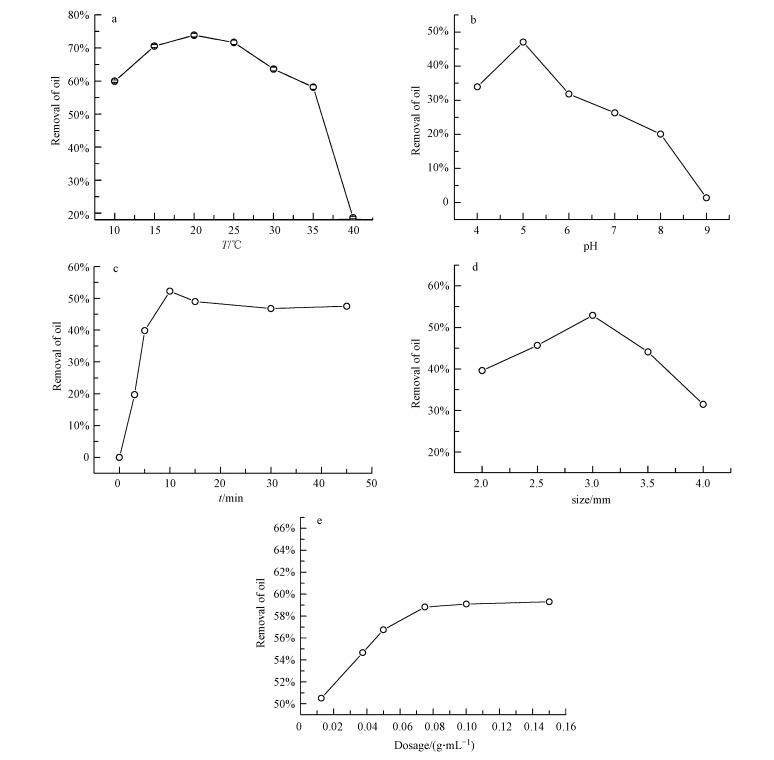
吸附體系溫度對吸附效果的影響見圖 3a.由圖可知,陽泉煙煤吸附重質油組分的最優溫度為20 ℃,此溫度下油的去除率為73.86%.繼續升高溫度,去除率出現下降趨勢,特別是溫度由35 ℃上升至40 ℃時,去除率急劇下降為18.64%.分析其原因,煤吸附去除油的過程無論是放熱還是吸熱,在溫度較低時,體系溫度的升高總是能加快反應速度,短時間內使吸附容量增大,去除率升高;當溫度升高到一定程度,反應向解吸方向進行,去除率下降.對于該異常變化,Gálvez等(2003)在碳基煤球吸附去除NO的研究中,也獲得了類似的結果.由此可見,煤吸附劑在凈化含油污水時,吸附體系溫度保持20 ℃即可.

圖 3 不同因素對油吸附去除的影響(a.溫度,b.pH,c.吸附時間,d.粒徑,e. 投加濃度)
pH是影響水除油的重要影響因素.通過配制不同初始pH的油水混合系統進行靜態吸附,測定不同pH值下的吸附效果.由圖 3b可知,pH升為5時,去除率達最高值47.06%;隨后,隨著pH升高,去除率逐漸降低,pH為9時,吸附除油率僅為1.4%,升高pH對煤吸附油不利.究其原因,主要是因為在堿性條件下有利于O/W型重質油乳狀液的穩定,不利于油組分從油水體系中被吸附到煤的表面(Merv et al., 2009).另外,重質油中的酸性組分、兩性組分及瀝青質等均具有降低界面張力的特性,而水相的堿性組分能直接活化重質油的酸性組分、兩性組分以及瀝青質等,所以pH越高越有利于稠油乳狀液的穩定(Anru et al., 2010; Andreas et al., 2006),油水分離越困難.通過以上分析可知,在采用原煤作吸附劑凈化含油污水時,為了破壞乳狀液的穩定性,需引入弱酸性的環境條件,以使油水的分離更有利,結合實驗可知,pH為5時凈化效果最佳.
保持吸附體系溫度為20 ℃、含油污水的pH為5、煤的投加濃度及處理水量與上述實驗保持一致,研究不同吸附時間對除油效果的影響,實驗結果如圖 3c所示.由圖 3c可以看出,在最初的10 min內,受濃度梯度的影響,模擬污水中的油組分能夠迅速轉移至吸附劑上,使去除率呈指數級增長.10 min時,吸附量達最大值,吸附達到飽和,污水中油組分去除率達52.28%.隨后,油組分去除率基本不變.因此,煤吸附油組分的最佳吸附時間至少為10 min.
粒徑對原煤吸附除油效果的影響見圖 3d.由圖可知,隨著吸附劑粒徑的增大油組分的去除率逐漸增加,3.0 mm時去除率達最大值,為52.9%;之后隨著粒徑的增大,去除率逐漸降低.理論上,比表面積與粒徑成反比,粒徑越小,比表面積越大,吸附劑上可用于吸附的點位越多,單位質量吸附劑的吸附量越高,而實驗結果與理論有較大出入.分析其原因,主要是因為過小的粒徑極易發生抱團粘結現象,減小了吸附點位,且粒徑過小,吸附劑間的空隙過小,液相不易通過;粒徑過大,比表面積小,吸附劑上可用于吸附的點位越少,單位質量吸附劑的吸附量越低.
在油水中分別投加0.0125、0.0375、0.050、0.075、0.100、0.150 g · mL-1粒徑為3.0 mm的陽泉煙煤吸附劑.保持pH為5,吸附時間為10 min,體系溫度為20 ℃進行靜態吸附.吸附效果如圖 3e所示.由圖可知,投加濃度由0.0125 g · mL-1升至0.075 g · mL-1時,油份去除率逐漸升高,由0.075 g · mL-1升至0.150 g · mL-1時去除率基本不變,投加濃度為0.075 g · mL-1時去除率達最大值,為59.1%.這說明,隨著投加濃度的增大,吸附劑的總表面積也相應增大,可用于吸附的點位就隨之增多,導致吸附去除的油組分量也相應增大.但并不是隨著投加濃度的增加,去除率也無限增大,當投加濃度達到一定值后,吸附平衡,去除率增加緩慢甚至不增加,這與粒徑對油份去除率的影響原理基本一致.因此,當投加濃度為0.075 g · mL-1時,陽泉煙煤吸附劑對油組分的去除效果最好.
含油污水屬于稀溶液體系,該體系的吸附等溫式最常用的是Langmuir方程,經對本實驗的最佳實驗條件進行擬合,等溫線擬合結果見表 2.由表 2可知,Langmuir方程可以較好地描述低濃度重質油在陽泉煙煤上的吸附過程.由Langmuir吸附等溫線可知,陽泉煙煤用于低濃度重質油污水的飽和吸附容量有限,僅為0.0247 mg · g-1,即24.7 g · t-1.Langmuir分離因子常數RL可用于判斷吸附反應是否容易進行,當0 表2 等溫線擬合結果表 3.3 動態吸附 不同流量對陽泉煙煤固定床吸附效果的影響如圖 4所示.在試驗選取的3個不同流量范圍(2.5、5、10 mL · min-1)內,陽泉煙煤吸附劑的吸附凈化效果隨流量的增加而變差.由固定床動態吸附結果可知,流量越低,吸附飽和越滯后,處理的含油污水越多.而流量加大時,穿透點會相應提前,導致穿透點吸附量減小.動態吸附表現出較好的處理能力與該吸附劑有限的吸附容量這一事實相矛盾.分析原因,認為在pH為5的條件下,高級脂肪酸根容易發生酸化反應(Merv et al..,2009),生成固態的飽和高級脂肪酸,從而被吸附劑截濾在固定床中,最終使動態吸附凈化效果得到顯著增強. 圖 4 不同流量下的動態吸附穿透曲線 總之,陽泉煙煤吸附劑處理含油污水的水量在試驗所選定的3種情況下,處理水量在小于10倍BV時,出水均符合了《山東省半島流域水污染物綜合排放標準》(DB37676—2007)中對石油類含量的限值要求(5 mg · L-1).而煤在吸附飽和后,持有大量油組分,使其具有更大的低位發熱量,不必進行再生,可以直接作為燃料煤.因此,這種天然優勢決定了其終將成為凈化重質油污染水的一種重要選擇.凈化后的水可循環回用于重質油污染場地的清洗,從而實現節約用水的目的.具體參見 污水處理技術資料或污水技術資料更多相關技術文檔。 4 結論 1)超聲清洗后需10 min的靜置沉降時間以實現泥漿中水土分離. 2)陽泉煙煤固定床凈化含油污水的最佳反應條件是吸附溫度為20 ℃,pH為5,吸附時間為10 min,煤粒徑為3 mm,投加濃度為0.0075 g · mm-1. 3)在最佳條件下用Langmuir方程可以較好地描述低濃度重質油在陽泉煙煤上的吸附過程,且由分離因子常數RL判知該反應較易發生,可使污水中油組分的去除率達52.28%以上. 4)流量對動態吸附有很大影響,流量加大,穿透點提前,吸附量減小,處理水量在小于10倍BV時,出水均符合《山東省半島流域水污染物綜合排放標準》(DB37676—2007)中對石油類含量的限值要求(5 mg · L-1),實現了水污染控制.
?