1 引言
電鍍行業是目前全球三大污染行業之一,其水質十分復雜,涉及銅、鎳、鉻等多種重金屬及酸、堿、氰化物等其它毒性雜物,特別是重金屬對人類和環境危害極大,因此,對電鍍廢水中重金屬的處理迫在眉睫(曹從榮,2012;廖志民等,2008).其中,含銅廢水是電鍍廢水的重要組成部分,其產生于各種不同的電鍍工序中.而在電鍍過程中使用的大量的絡合劑,如乙二胺四乙酸二鈉(EDTA)、酒石酸(TA)、檸檬酸(CA)等會與Cu2+形成穩定的EDTA-Cu、TA-Cu、CA-Cu等酸性絡合物,能在較寬的pH值范圍內穩定存在,使含銅電鍍廢水難以有效去除.目前,最經濟且廣泛應用的重金屬廢水處理方法是以氫氧化物、硫化物為主的傳統化學沉淀法.但用傳統化學沉淀法對重金屬污染進行控制,尤其對酸性絡合態重金屬廢水而言存在一定的局限性,一方面在酸性條件下,生成的氫氧化物沉淀物容易返溶,使重金屬廢水難以達標排放;另一方面,過量的硫化物遇酸會釋放硫化氫氣體,易引起二次污染.其他方法如電解法、離子交換法、吸附法、高級氧化還原法等,普遍存在反應周期長、處理過程較復雜、處理成本高,易引起二次污染等不足,限制了其實際應用,因此,亟待開發一種對酸性絡合銅進行高效脫除的方法.
以二硫代氨基甲酸鹽(DTC)為代表的重金屬捕集劑由于具有強大的螯合能力,能直接處理絡合態重金屬廢水,形成強穩定性的螯合沉淀物,已成為重金屬污染領域的熱點,受到廣泛關注.目前,DTC類重金屬捕集劑主要分為兩類:高分子螯合劑和小分子螯合劑.高分子螯合劑分子量大,沉淀效果較好,但由于分子鏈較長,螯合基團(二硫代氨基甲酸基)存在空間位阻,使一部分螯合基團無法與重金屬離子進行螯合,利用率較低,因此,重金屬去除效果不甚理想,同時高分子螯合劑的成本較高.小分子螯合劑的螯合基團利用率一般較高,特別是含有多個螯合基團的小分子螯合劑,由于重金屬可以與不同的螯合基團位點進行配位,或者螯合劑之間進行配位,可使形成的螯合沉淀絮體不斷增大,有助于絮凝沉降.
本文針對以上情況,在前期研究的基礎上,以乙二胺和二硫化碳為原料,在混合溶劑(乙醇/去離子水)條件下快速合成一種多硫代氨基甲酸基團的巰基類重金屬捕集劑,命名為EDTC,采用紫外光譜、紅外光譜和元素分析對其結構進行表征.同時,以EDTA-Cu、TA-Cu、CA-Cu 3種酸性模擬絡合銅廢水為研究對象,系統研究EDTC投加量、初始pH、反應時間等因素對Cu去除效果的影響,并驗證螯合沉淀物的穩定性,同時探討該重金屬捕集劑脫除絡合Cu的機理,以期為實際含銅廢水的高效脫 Cu技術提供理論依據.
2 材料與方法
2.1 實驗材料
聚丙烯酰胺(PAM)、硫酸銅(CuSO4·5H2O)、檸檬酸(CA)、乙二胺四乙酸二鈉(C10H14N2O8Na2·2H2O)、 氫氧化鈉(NaOH)、酒石酸鉀鈉(TA)、無水乙醇、無水乙二胺、濃硝酸、二硫化碳(CS2)均為分析純.
2.2 實驗方法 2.2.1 EDTC的合成實驗
往配有攪拌和冷凝的三口燒瓶中加入40 mL混合溶劑(V乙醇/VH2O=1 ∶ 2),之后加入乙二胺0.1 mol(6.68 mL),在冰水浴中緩慢滴加CS2 0.25 mol(15.08 mL),滴加結束后升溫至室溫,穩定反應2 h,抽濾,分別用去離子水和無水乙醇洗滌產物1~2次,40 ℃真空干燥至恒重,得到白色粉末固體N,N -雙(二硫代羧基)乙二胺,即EDTC.制備重金屬捕集劑EDTC的基本反應方程式如下:
?
2.2.2 重金屬捕集劑EDTC去除絡合銅實驗
在室溫條件下,取100 mL 50 mg · L-1模擬絡合銅廢水(由五水硫酸銅與EDTA、CA、TA按物質量比1 ∶ 1配置)置于150 mL燒杯中,調節pH,加入一定量捕集劑EDTC,置于六聯攪拌器中快速(250 r · min-1)攪拌2 min,投加絮凝劑PAM 1.0 mg · L-1,并緩慢攪拌(50 r · min-1)5 min,靜置10 min后取液面2 cm處清液,濾紙過濾后用原子吸收分光光度計測定上清液中殘留的Cu濃度,計算去除率.分別研究了EDTC投加量、廢水初始pH、反應時間等因素對EDTC去除Cu的影響. 2.2.3 重金屬溶出實驗 將EDTC與酸性絡合銅廢水反應生成的螯合沉淀物(EDTC為最佳投加量)經去離子水洗滌過濾,然后于40 ℃真空干燥備用,對沉淀物進行半自動溶出(SDLT)實驗.
SDLT實驗參照Chang等(2002)的方法,實驗步驟如下:將沉淀物顆粒加入3個具塞錐形瓶內,按100 ∶ 1(mL/g)的固液比分別加入pH為2.5和5.0的醋酸溶液及pH為9.0的NaOH溶液,進行靜置溶出實驗,每隔一段時間測定溶出的Cu2+濃度.
2.3 分析方法
pH指標采用雷磁pHS-25 酸度計測定;Cu2+濃度采用火焰原子吸收分光光度計測定(日立 Z2000 型,檢出限 0.001 mg · L-1,日本日立儀器有限公司);重金屬捕集劑EDTC反應前后表征:①采用KBr壓片法,Nicolet380 傅里葉變換紅外光譜儀(Nicolet380,美國THERMO Fisher Scientific)在波數4000~400 cm-1范圍內測定透光率,儀器分辨率為0.4 cm-1.②將EDTC配成濃度為5 mg · L-1和15 mg · L-1的水溶液,用紫外可見分光光度計(UV-2100,中國北分瑞利)分析EDTC,掃描范圍220~400 nm;③采用有機元素分析儀(2400Ⅱ,美國PerkinElmer)測定捕集劑和螯合產物碳、氫、氮、硫含量.
3 結果與討論(Results and discussion) 3.1 EDTC的結構表征 3.1.1 EDTC的紫外光譜
配置5 mg · L-1和15 mg · L-1兩種濃度的EDTC水溶液,以去離子水為參比,220~400 nm段的掃描結果如圖 1所示.由圖 1可知,重金屬捕集劑EDTC在284 nm、251 nm處各存在最大吸收,251 nm處為N—C—S基團的 π-π*躍遷,284 nm處為—CS2基團上的S的非鍵電子向共軛體系的n-π*躍遷,表明碳氮和碳硫之間具有部分雙鍵的結構特征(Tombeux et al., 1972),可初步確定EDTC的主要官能團有C—N、C S及C—S,EDTC上存在二硫代氨基.
圖1 EDTC的紫外光譜圖
3.1.2 EDTC的紅外光譜
在400~4000 cm-1范圍內對EDTC進行紅外光譜測定,結果如圖 2所示.在3445 cm-1有—OH的伸縮振動峰,說明EDTC分子中含有結晶水;3213 cm-1處的吸收峰為N—H的伸縮振動峰;2952 cm-1處為C—H伸縮振動,且低于3000 cm-1,該峰為 C—H的飽和吸收峰;2858 cm-1處為—CH2的對稱伸縮振動峰;2576 cm-1處為—SH的伸縮振動峰;1635 cm-1處為 N—H 的變形振動峰;1508 cm-1處為 N—CS2的伸縮振動吸收峰,此峰介于C—N單建(1300 cm-1)和C=N雙鍵(1600 cm-1)之間,具有部分雙鍵性質;在1480~1510 cm-1處的ν(C—N)伸縮振動及在940~990 cm-1處的ν(C—S)伸縮振動表明二硫代甲酸鹽是雙齒配體;C—S的紅外特征吸收在1007 cm-1,低于C=S雙鍵的特征吸收(1501~1200 cm-1),而且是一個強吸收峰.以上結果可以說明EDTC分子類含有二硫代氨基甲酸基團.
圖2 EDTC的紅外光譜圖
3.1.3 EDTC的元素分析
由表 1數據計算可知,EDTC中C、H、N和S的摩爾比為2 ∶ 4 ∶ 1 ∶ 2,可以推導EDTC的最簡式為C2H4NS2.結合EDTC的紫外光譜和紅外光譜分析可推斷乙二胺和CS2反應生成EDTC的分子結構式為:
?
表1 EDTC的元素分析
?
3.2 EDTC投加量對Cu去除效果的影響
模擬含銅廢水中的Cu濃度均為50 mg · L-1,調節反應體系pH值為5.0左右,投加不同劑量的重金屬捕集劑EDTC,反應2 min,PAM為1.0 mg · L-1,反應時間5 min,靜置10 min,考察EDTC投加量對Cu去除效果的影響,結果如圖 3所示,圖中EDTC投加量換算成與廢水中Cu的質量比,以mEDTC/mCu計.
?
圖3 EDTC投加量對絡合銅離子去除的影響(T=25℃,pH=5.0,PAM=1.0 mg · L-1,t=5 min)
在同一投加量條件下,體系中剩余Cu離子濃度隨著絡合劑的不同呈以下順序:EDTA-Cu >CA-Cu> TA-Cu.Cu的去除效率隨著EDTC投加量的增加而迅速增加;當mEDTC/mCu≥8時,去除率趨于穩定,達到99.5%以上,此時反應體系中的Cu濃度均低于0.25 mg · L-1,低于《電鍍污染物排放標準(GB21900-2008)》中關于 Cu污染物特別排放限值要求(<0.3 mg · L-1).可以看出,EDTC對于3種絡合銅都能有效去除,這表明DTC基團對Cu2+的螯合能力要比EDTA、TA、CA還要強.而繼續加大EDTC投加量,雖然能進一步提升Cu的去除效率,但變化不大,同時考慮到過量的EDTC會增加反應體系COD,當mEDTC/mCu=8時,反應前后反應體系COD由178.5 mg · L-1上升到363.5 mg · L-1,故本實驗得出的EDTC最佳投加量為8倍于廢水中Cu含量,即mEDTC/mCu=8.
3.3 初始pH對Cu去除效果的影響
取濃度為50 mg · L-1的各絡合銅水100 mL,用0.1 mol · L-1的硝酸或氫氧化鈉溶液調節反應體系pH,mEDTC/mCu=8,絮凝劑PAM為1 mg · L-1,同時與不投加EDTC的絡合銅廢水做對比,考察初始pH值對絡合Cu去除效果的影響,結果如圖 4所示.
?
圖4 廢水初始pH對絡合Cu2+去除的影響(a.mEDTC/mCu=0,b.mEDTC/mCu=8)
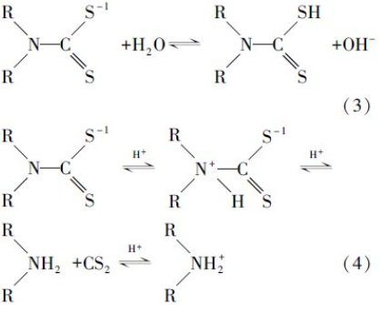
由圖 4a可知,3種絡合銅廢水中不添加EDTC時,pH值即使達到11,去除率接近為0,沒有Cu(OH)2沉淀產生,這說明EDTA-Cu、CA-Cu、TA-Cu很穩定,銅離子不能直接以氫氧化物的形式去除,即堿中和沉淀不能處理絡合銅廢水,需先進行破絡才能進一步處理.加入EDTC后,在pH值范圍為3~9內,Cu的去除率穩定在99.5%以上,殘余Cu濃度均達到排放標準;而當初始pH>11時,Cu的去除率下降至90%以下,反應前后溶液pH基本不變.分析原因:EDTC在水中存在式(3)電離平衡,隨著體系pH上升,平衡向生成DTC移動,會離解出更多的DTC基團與Cu2+螯合,且形成的絮體還能吸附溶液中一部分重金屬離子,致使去除率上升;但在強堿條件下(pH>11),絡合離子如EDTA、檸檬酸等與Cu2+形成的配合物穩定性較強,抑制了EDTC對Cu的捕集效果.以EDTA為例,在水溶液中,EDTA以H6Y2+、H5Y+、H4Y、H3Y-、H2Y2-、HY3-、Y4-這7種形式存在,在不同的pH條件下,各種形式的濃度是不同的.在pH>10.26的堿性溶液中,主要以Y4-形式為主,Y4-能與Cu2+直接配位,隨著pH的增加,Y4-的離子濃度就越大,EDTA對Cu2+的配位能力越強.因此,在強堿條件下,Cu的去除率有所下降.在強酸條件下,一方面式(3)電離平衡右移,DTC基團減少,EDTC對Cu2+的去除效果下降,同時EDTC還可能會按式(4)分解為CS2和質子化的胺,這樣會消耗一部分EDTC,Cu的去除率隨之降低.另一方面H+濃度較高,可能會與Cu2+競爭重金屬捕集劑表面的螯合活性位點.這與劉新梅等用捕集劑DTC(BETA)對含銅廢水進行螯合處理,Cu的去除最佳pH范圍在3~9之間的研究結果是一致的.
?
因實際電鍍廢水多為酸性廢水(pH在5左右),傳統化學沉淀法需要先消耗大量堿液調節pH,甚至需要經過破絡,而EDTC在酸性條件下也能直接有效去除重金屬,彌補了傳統化學沉淀法的不足(魏廣艷等,2006),其為EDTC的一大優點.
3.4 反應時間對Cu去除效果的影響
取濃度50 mg · L-1的各絡合銅廢水100 mL,調節pH=5.0,mEDTC/mCu=8,絮凝劑PAM為1 mg · L-1,調整慢攪時間0~12 min,考察反應時間對Cu去除效果的影響,結果如圖 5所示.可以看出,在前30 s,EDTC對絡合Cu的去除率僅為80%~90%,分析原因可能是由于EDTC與絡合離子對Cu2+的螯合競爭作用所致.在反應前3 min內,Cu的去除率隨著反應時間的延長而增加,在3 min后,EDTC與絡合銅的反應基本結束,Cu的去除率穩定在99.9%以上,出水濃度<0.15 mg · L-1,遠低于國家排放標準.當反應時間超過10 min后,Cu的去除率略有降低,但仍在99.5%以上.分析認為:反應結束后,繼續延長攪拌時間會導致絮體顆粒破碎,不能完全沉降,影響出水水質.總體來說,反應時間對Cu的去除效果影響沒有EDTC投加量和初始pH值大,考慮到反應時長關系到應用實際工程的反應池容積的大小,涉及經濟成本,故選擇反應時間為3 min.
圖5 反應時間對絡合Cu2+去除的影響(T=25℃,pH=5.0,PAM=1.0 mg · L-1)
3.5 EDTC與Cu的螯合機理
EDTA-Cu、CA-Cu、TA-Cu模擬廢水與EDTC按上述優化工藝條件反應得到棕色沉淀產物,沉淀產物經過濾、洗滌、真空干燥后進行紅外光譜表征,其紅外光譜圖如圖 6所示.由圖可知,b、c、d 3種沉淀物曲線的出峰位置及峰強度基本一致,可以說明3種沉淀物所擁有的官能團基本是相同的.因EDTA、CA、TA三者官能團不全相同,由此可以判斷:在反應過程中不同的絡合劑并沒有參與最后沉淀物的形成,也有可能是EDTA、檸檬酸、酒石酸的特征官能團吸收峰與EDTC的吸收峰發生部分重疊.
圖6 EDTC與3種螯合沉淀物的紅外光譜圖(4000~400 cm-1)(a. EDTC固體,b.EDTC和EDTA-Cu的反應沉淀物,c.EDTC和TA-Cu反應沉淀物,d:EDTC和CA-Cu反應沉淀物)
由圖 6可知,重金屬捕集劑EDTC反應后在2576 cm-1處的—SH 特征吸收峰消失,1508 cm-1處的N—CS2伸縮振動吸收峰和1007 cm-1處的C—S特征吸收峰強度有所降低,1304 cm-1處的C S特征吸收峰后移至1316 cm-1且強度有所減弱,這幾個峰反映了螯合的關鍵基團,正是由于S與Cu的螯合作用,減小了S的電負性,引起峰的變化.由此可推斷,EDTC 捕集金屬Cu的主要官能團是—SH,而EDTC中的其它基團沒有參與反應.進一步對3種螯合沉淀物進行元素分析,其各元素含量百分比如表 2所示.由表 2可知,3種模擬絡合銅廢水的螯合產物與EDTC-Cu(EDTC與CuSO4按摩爾比為1 ∶ 1反應制備)的理論含量值基本一致.
表2 三種螯合產物(a、b、c)和EDTC-Cu理論元素含量對比
?
由上述推斷可知,EDTC與Cu的作用機理為脫絡-螯合,即EDTC進攻絡合銅離子,由于EDTC與Cu2+的螯合能力更強,使Cu2+與其他絡合劑脫離,與Cu2+螯合生成更穩定的EDTC-Cu沉淀物,從而有效脫除Cu,反應總方程式如式(5)所示,其中,M代表絡合劑(EDTA/TA/CA).反應沉淀產物中不含有EDTA、檸檬酸(CA)、酒石酸(TA),使得3種螯合產物的紅外譜圖基本一致.峰高的差異體現了EDTC在反應過程中的變化:3種絡合劑與Cu2+的絡合穩定性不同,EDTC對絡合銅進行脫絡時,所需能量不同,鍵能發生變化,導致了3種螯合沉淀物紅外譜圖的略小差異.具體參見 污水處理技術資料或污水技術資料更多相關技術文檔。
3.6 螯合沉淀物的溶出特性
圖 7為在不同pH值條件下螯合沉淀物EDTC-Cu溶出Cu2+的累積分數.SDLT實驗結果表明,在pH值為2.5時,累積溶出銅占總銅量的3.21%,而在pH值為5.0和9.0時,30 d的累積溶出銅僅占0.05%和0.08%.這與令玉林等(2011)用重金屬捕集劑RDTC對含銅廢水進行處理,其沉淀物溶出特性的研究結果相似.由此說明,EDTC能沉淀銅離子且能長期安全放置,不易產生二次污染.
圖7 SDLT中EDTC-Cu沉淀溶出銅的累積分數隨時間變化曲線
4 結論
1)以乙二胺和CS2在混合溶劑(V乙醇/VH2O=1 ∶ 2)中制備了一種巰基類重金屬捕集劑EDTC,產物為白色固體粉末,有利于儲存運輸.EDTC分子內含有2個二硫代氨基甲酸基團,有助于螯合廢水中的重金屬.
2)EDTC能快速高效地去除絡合態Cu,處理初始濃度為50 mg · L-1的各絡合銅,pH為3~9,EDTC投加量為8倍于Cu含量(質量比),反應時間3 min,PAM為1 mg · L-1,處理后的出水Cu濃度均低于0.25 mg · L-1,去除率達到99.5%以上,達到《電鍍污染物排放標準(GB21900—2008)》中關于 Cu污染物特別排放限值要求(<0.3 mg · L-1),其中,EDTC投加量和初始pH對Cu的去除效果影響較大.
3)EDTC在與絡合銅反應時,和原有的絡合劑競爭Cu2+,并與Cu2+生成更穩定的螯合沉淀物EDTC-Cu.SDLT實驗表明,螯合沉淀物EDTC-Cu可在弱酸性和弱堿性條件下長期穩定存在,不易造成二次污染.

?
?




?
?
?